ÌâÄ¿ÄÚÈÝ
2011Äê9ÔÂ29ÈÕÍí21ʱ16·Ö£¬ÎÒ¹ú½«Ê׸öÄ¿±ê·ÉÐÐÆ÷Ì칬һºÅ·¢ÉäÉý¿Õ£¬Ëü½«ÔÚÁ½ÄêÄÚ·Ö±ðÓëÉñÖ۰˺š¢ÉñÖ۾źš¢ÉñÖÛÊ®ºÅ·É´¬¶Ô½Ó£¬´Ó¶ø½¨Á¢ÎÒ¹úµÚÒ»¸ö¿Õ¼äʵÑéÊÒ£®¼ÙÈçÉñÖ۰˺ÅÓëÌ칬һºÅ¶Ô½ÓǰËù´¦µÄ¹ìµÀÈçͼËùʾ£®µ±ËüÃÇ´¦ÓÚÈçͼËùʾµÄ¹ìµÀÔËÐÐʱ£¬ÏÂÁÐ˵·¨ÕýÈ·µÄÊÇ£¨ £©A£®ÉñÖ۰˺ŵļÓËٶȱÈÌ칬һºÅµÄС
B£®ÉñÖ۰˺ŵÄÔËÐÐËٶȱÈÌ칬һºÅµÄС
C£®ÉñÖ۰˺ŵÄÔËÐÐÖÜÆÚ±ÈÌ칬һºÅµÄ³¤
D£®ÉñÖ۰˺Åͨ¹ý¼ÓËÙºó±ä¹ì¿ÉʵÏÖÓëÌ칬һºÅ¶Ô½Ó
¡¾´ð°¸¡¿·ÖÎö£º¸ù¾ÝÍòÓÐÒýÁ¦ÌṩÏòÐÄÁ¦£¬·ÖÎöÔËÐÐËÙ¶È¡¢¼ÓËÙ¶È¡¢½ÇËÙ¶È¡¢ÖÜÆÚÓë¹ìµÀ°ë¾¶µÄ¹ØÏµ£®´Ó¶ø±È½Ï³öËûÃǵĴóС
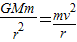
½â´ð£º½â£ºA£º¸ù¾ÝÍòÓÐÒýÁ¦ÌṩÏòÐÄÁ¦£¬
£¬°ë¾¶´óµÄÌ칬һºÅµÄ¼ÓËÙ¶ÈС£®¹ÊA´íÎó£»
B£º¸ù¾ÝÍòÓÐÒýÁ¦ÌṩÏòÐÄÁ¦£¬
£¬
£¬°ë¾¶´óµÄÌ칬һºÅµÄÏßËÙ¶ÈС£®¹ÊB´íÎó£»
C£º¸ù¾ÝÍòÓÐÒýÁ¦ÌṩÏòÐÄÁ¦£¬
£¬
£¬°ë¾¶´óµÄÌ칬һºÅµÄÖÜÆÚ´ó£®¹ÊC´íÎó£»
D£ºÉñÖ۰˺żÓËÙºó£¬ÏßËÙ¶È˲ʱ±ä´ó£¬ÐèÒªµÄÏòÐÄÁ¦Ôö´ó£¬¹Ê×öÀëÐÄÔ˶¯£¬¹ìµÀÉý¸ß£¬¿ÉʵÏÖÓëÌ칬һºÅ¶Ô½Ó£¬¹ÊDÕýÈ·£®
¹ÊÑ¡£ºD
µãÆÀ£º½â¾ö±¾ÌâµÄ¹Ø¼üÊÇÀûÓÃÍòÓÐÒýÁ¦ÌṩÏòÐÄÁ¦Õâһ֪ʶµã£¬ÖªµÀÏßËÙ¶È¡¢ÖÜÆÚ¡¢¼ÓËÙ¶ÈÓë¹ìµÀ°ë¾¶µÄ¹ØÏµ£®
½â´ð£º½â£ºA£º¸ù¾ÝÍòÓÐÒýÁ¦ÌṩÏòÐÄÁ¦£¬
B£º¸ù¾ÝÍòÓÐÒýÁ¦ÌṩÏòÐÄÁ¦£¬
C£º¸ù¾ÝÍòÓÐÒýÁ¦ÌṩÏòÐÄÁ¦£¬
D£ºÉñÖ۰˺żÓËÙºó£¬ÏßËÙ¶È˲ʱ±ä´ó£¬ÐèÒªµÄÏòÐÄÁ¦Ôö´ó£¬¹Ê×öÀëÐÄÔ˶¯£¬¹ìµÀÉý¸ß£¬¿ÉʵÏÖÓëÌ칬һºÅ¶Ô½Ó£¬¹ÊDÕýÈ·£®
¹ÊÑ¡£ºD
µãÆÀ£º½â¾ö±¾ÌâµÄ¹Ø¼üÊÇÀûÓÃÍòÓÐÒýÁ¦ÌṩÏòÐÄÁ¦Õâһ֪ʶµã£¬ÖªµÀÏßËÙ¶È¡¢ÖÜÆÚ¡¢¼ÓËÙ¶ÈÓë¹ìµÀ°ë¾¶µÄ¹ØÏµ£®
Á·Ï°²áϵÁдð°¸
Ïà¹ØÌâÄ¿