题目内容
玉树大地震,牵动了全国人民的心.一架装载救灾物资的直升飞机,以10 m/s的速度水平飞行,在距地面180 m的高度处,欲将救灾物资准确投放至地面目标,若不计空气阻力,g取10 m/s2,则
A.物资投出后经过6 s到达地面目标
B.物资投出后经过18 s到达地面目标
C.应在距地面目标水平距离60 m处投出物资
D.应在距地面目标水平距离180 m处投出物资
【答案】
AC
【解析】
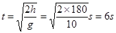
试题分析:物资投出后到达地面的时间
;因为落到地面时水平距离为
,所以应在距地面目标水平距离60 m处投出物资,选项AC正确。
考点:此题考查平抛运动的规律。
练习册系列答案
相关题目
“5.12”汶川大地震,牵动了全国人民的心.一架装载救灾物资的直升飞机,以10m/s的速度水平飞行,在距地面180m的高度处,欲将救灾物资准确投放至地面目标,若不计空气阻力,g取10m/s2,则( )
玉树大地震,牵动了全国人民的心.一架装载救灾物资的直升飞机,以10 m/s的速度水平飞行,在距地面180 m的高度处,欲将救灾物资准确投放至地面目标,若不计空气阻力,g取10 m/s2,则( )
| A.物资投出后经过6 s到达地面目标 |
| B.物资投出后经过18 s到达地面目标 |
| C.应在距地面目标水平距离60 m处投出物资 |
| D.应在距地面目标水平距离180 m处投出物资 |