题目内容
一物体由静止开始作匀加速运动,它在第n秒内的位移是s,则其加速度大小为( )A.
B.
C.
D.
【答案】分析:要求物体的加速度,知道物体在第n秒内的位移,根据平均速度公式s=
t,需求物体在第n秒内的平均速度,故需求物体在第n秒初的速度v1和在第n秒末的速度v2.
解答:解:设物体的加速度为a,由于物体做初速度为0的匀加速直线运动,
根据vt=v+at可得
物体在第(n-1)秒末的速度为v1=(n-1)a,
物体在第n秒末的速度为v2=na,
则在第n秒内的平均速度
,
根据s=
t
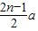
物体在第n秒内的位移s=
×1
故物体的加速度a=
故选A.
点评:知道某段时间内的位移,求物体的加速度,可以利用平均速度公式求解,要求平均速度,需要知道物体的初速度和末速度的表达式.
解答:解:设物体的加速度为a,由于物体做初速度为0的匀加速直线运动,
根据vt=v+at可得
物体在第(n-1)秒末的速度为v1=(n-1)a,
物体在第n秒末的速度为v2=na,
则在第n秒内的平均速度
根据s=
物体在第n秒内的位移s=
故物体的加速度a=
故选A.
点评:知道某段时间内的位移,求物体的加速度,可以利用平均速度公式求解,要求平均速度,需要知道物体的初速度和末速度的表达式.
练习册系列答案
相关题目