题目内容
油酸酒精溶液的浓度为每1000ml油酸酒精溶液中有油酸0.6ml,用滴管向量筒内滴50滴上述溶液,量筒中的溶液体积增加1ml,若把一滴这样的溶液滴入盛水的浅盘中,由于酒精溶于水,油酸在水面展开,稳定后形成单分子油膜的形状如图所示.(1)若每一小方格的边长为25mm,则油酸薄膜的面积约为 m2;
(2)第一滴油酸酒精溶液含有纯油酸的体积为 m3;
(3)由以上数据,估算出油酸分子的直径 m.
【答案】分析:(1)采用估算的方法求油膜的面积,通过数正方形的个数:面积超过正方形一半算一个,不足一半的不算,数出正方形的总个数乘以一个正方形的面积,近似算出油酸膜的面积;
(2)根据浓度按比例算出纯油酸的体积;
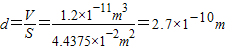
(3)把油酸分子看成球形,且不考虑分子间的空隙,油膜的厚度近似等于油酸分子的直径,由
可以求出直径大小.
解答:解:(1)面积超过正方形一半的正方形的个数为71个
则油酸膜的面积约为S=71×2.5×2.5cm2=443.75cm2=4.4375×10-2m2.
故答案为:4.4375×10-2.
(2)每滴酒精油酸溶液中含有纯油酸的体积:
=1.2×10-11m3
故答案为:1.2×10-11.
(3)把油酸分子看成球形,且不考虑分子间的空隙,因此其直径为:

故答案为:2.7×10-10.
点评:本实验的模型是不考虑油酸分子间的空隙,采用估算的方法求面积,肯定存在误差,但本实验只要求估算分子大小,数量级符合要求就行了.计算时注意单位的换算.
(2)根据浓度按比例算出纯油酸的体积;
(3)把油酸分子看成球形,且不考虑分子间的空隙,油膜的厚度近似等于油酸分子的直径,由
解答:解:(1)面积超过正方形一半的正方形的个数为71个
则油酸膜的面积约为S=71×2.5×2.5cm2=443.75cm2=4.4375×10-2m2.
故答案为:4.4375×10-2.
(2)每滴酒精油酸溶液中含有纯油酸的体积:
故答案为:1.2×10-11.
(3)把油酸分子看成球形,且不考虑分子间的空隙,因此其直径为:
故答案为:2.7×10-10.
点评:本实验的模型是不考虑油酸分子间的空隙,采用估算的方法求面积,肯定存在误差,但本实验只要求估算分子大小,数量级符合要求就行了.计算时注意单位的换算.
练习册系列答案
相关题目