题目内容
根据玻尔理论,在氢原子中,量子数n越大,则( )A.电子轨道半径越小
B.核外电子运动速度越小
C.原子能级的能量越小
D.电子的电势能越大
【答案】分析:在氢原子中,量子数n越大,原子的能量越大,根据库仑引力提供向心力,根据轨道半径的变化,判断电子动能的变化.原子能量等于电子动能和势能的总和,从而确定电子势能的变化.
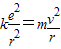
解答:解:n越大,轨道半径越大,原子能量越大,根据
,知电子的动能越小,原子能量等于电子动能和势能的总和,知电阻的电势能越大.故B、D正确,A、C错误.
故选BD.
点评:解决本题的关键知道量子数越大,轨道半径越大,电子动能越小,原子能量越大,电子电势能越大.
解答:解:n越大,轨道半径越大,原子能量越大,根据
故选BD.
点评:解决本题的关键知道量子数越大,轨道半径越大,电子动能越小,原子能量越大,电子电势能越大.
练习册系列答案
相关题目
下列说法正确的是( )
| A、放射性元素的半衰期随着温度的升高而变短 | ||||||
| B、某金属的逸出功为2.3eV,这意味着这种金属表面的电子克服原子核引力做2.3eV的功即可脱离表面 | ||||||
| C、现已建成的核电站发电的能量来自于人工放射性同位素放出的能量 | ||||||
D、
| ||||||
| E、根据玻尔理论,在氢原子中量子数n越大,核外电子速度越小 |