题目内容

(8分)已知地球半径为R,引力常量为G,地球同步通信卫星周期为T,它离地面的高度约为地球半径的6倍。

(1)求地球的质量;

(2)若地球的质量是某行星质量的16倍,地球的半径是该行星半径的2倍。该行星的同步卫星距其表面的高度是其半径的2.5倍,求该行星的自转周期。

 

【答案】

(1)M=(4分);(2)T′=T(4分)。

【解析】

试题分析:(1)设地球的质量为M,地球同步通信卫星的质量为m,地球同步通信卫星的轨道半径为r,则r=7R。(1分),根据万有引力定律和牛顿第二定律有 (2分)

解得M=     (1分)

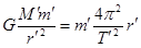
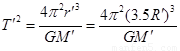
(2)设某行星质量为M′,半径为R′,该行星同步卫星质量为m′,轨道半径为r′,r′=3.5 R′,自转周期为T′,根据万有引力定律和牛顿第二定律有 (1分),

解得(1分)

又因地球同步通信卫星周期   (1分)

解得T′=T(1分)

考点:同步卫星绕星体运动的规律,万有引力与向心力的综合应用。

 

练习册系列答案
相关题目

违法和不良信息举报电话:027-86699610 举报邮箱:58377363@163.com

精英家教网