题目内容

如图所示,轻弹簧上端与一质量为m的木块1相连,下端与另一质量为M的木块2相连,整个系统置于水平放置的光滑木板上,并处于静止状态.现将木板沿水平方向突然抽出,设抽出后的瞬间,木块1、2的加速度大小分别为a1、a2.重力加速度大小为g,则有

A.a1=g,a2=g

B.a1=0,a2=g

C.a1=0,a2=g

D.a1=g,a2=g

 

【答案】

C

【解析】

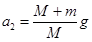
试题分析:静止时,木板对木块2的支持力为(M+m)g,撤去木板的瞬时,因为弹簧的弹力不能突变,所以木块1的受力情况不变,则a1=0,木板2受的合外力为(M+m)g,加速度大小为。选项C正确。

考点:牛顿定律的应用;瞬时态问题。

 

练习册系列答案
相关题目

违法和不良信息举报电话:027-86699610 举报邮箱:58377363@163.com

精英家教网