题目内容
质量分别为m1和m2的小车A和B放在水平面上,小车A的右端连着一根水平的轻弹簧,处于静止.小车B从右面以某一初速驶来,与轻弹簧相碰,之后,小车A获得的最大速度的大小为v.如果不计摩擦,也不计相互作用过程中的机械能损失.求:(1)小车B的初速度大小.
(2)如果只将小车A、B的质量都增大到原来的2倍,再让小车B与静止小车A相碰,要使A、B小车相互作用过程中弹簧的最大压缩量保持不变,小车B的初速度大小又是多大?
【答案】分析:①两车碰撞过程中,动量与机械能守恒,由动量守恒定律与机械能守恒定律可以求出小车B的初速度v;
②弹簧压缩最短时,弹簧的弹性势能最大,由动量守恒定律与能量守恒定律求解.
解答:解:(1)设小车B开始的速度为v,A、B相互作用后A的速度即A获得的最大速度v,
系统动量守恒m2vo=m1v+m2v2
相互作用前后系统的总动能不变
m2v2=
m1v2+
m2v22,
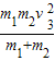
解得:v=4m/s;
解得:v=
(2)第一次弹簧压缩最短时,A、B有相同的速度,据动量守恒定律,有m2v=(m1+m2)v共,得
v共=
v
此时弹簧的弹性势能最大,等于系统总动能的减少
△E=
m2v2-
(m1+m2)
=
同理,小车A、B的质量都增大到原来的2倍,小车B的初速度设为v3,
A、B小车相互作用过程中弹簧的压缩量最大时,系统总动能减少为△E′=
由△E=△E',得
小车B的初速度v3=
=
答:(1)小车B的初速度大小是
.
(2)小车B的初速度大是
点评:能根据动量守恒条件判断系统动量守恒并能列式求解,能根据机械能守恒条件判断系统机械能守恒并列式求解是解决本题两问的关键
②弹簧压缩最短时,弹簧的弹性势能最大,由动量守恒定律与能量守恒定律求解.
解答:解:(1)设小车B开始的速度为v,A、B相互作用后A的速度即A获得的最大速度v,
系统动量守恒m2vo=m1v+m2v2
相互作用前后系统的总动能不变
解得:v=4m/s;
解得:v=
(2)第一次弹簧压缩最短时,A、B有相同的速度,据动量守恒定律,有m2v=(m1+m2)v共,得
v共=
此时弹簧的弹性势能最大,等于系统总动能的减少
△E=
同理,小车A、B的质量都增大到原来的2倍,小车B的初速度设为v3,
A、B小车相互作用过程中弹簧的压缩量最大时,系统总动能减少为△E′=
由△E=△E',得
小车B的初速度v3=
答:(1)小车B的初速度大小是
(2)小车B的初速度大是
点评:能根据动量守恒条件判断系统动量守恒并能列式求解,能根据机械能守恒条件判断系统机械能守恒并列式求解是解决本题两问的关键
练习册系列答案
相关题目
两颗行星的质量分别为m1和m2,绕太阳运行的轨道半长轴分别为r1和r2,则它们的公转周期之比为( )
A、
| ||||||||
B、
| ||||||||
C、
| ||||||||
| D、无法确定 |