ÌâÄ¿ÄÚÈÝ

ÈçͼËùʾ(¸©ÊÓͼ)£¬Ïà¾àΪ2 LµÄ¹â»¬Æ½ÐнðÊôµ¼¹ìˮƽ·ÅÖ㬵¼¹ìÒ»²¿·Ö´¦ÔÚÒÔΪÓұ߽çµÄÔÈÇ¿´Å³¡ÖУ¬ÔÈÇ¿´Å³¡µÄ´Å¸ÐӦǿ´óСΪB£¬·½Ïò´¹Ö±µ¼¹ìÆ½ÃæÏòÏ£¬µ¼¹ìÓÒ²à½ÓÓж¨Öµµç×èR£¬µ¼¹ìµç×èºöÂÔ²»¼Æ£®ÔÚ¾à±ß½çΪL´¦´¹Ö±µ¼¹ì·ÅÖÃÒ»ÖÊÁ¿Îªm¡¢µç×èҲΪRµÄ½ðÊô¸Ëab£®

(1)Èô½ðÊô¸Ëab¹Ì¶¨£®´Å³¡µÄ´Å¸ÐӦǿ¶ÈÔÚʱ¼ätÄÚÓÉB¾ùÔȼõСµ½Á㣮Çó´Ë¹ý³ÌÖÐÁ÷¹ýµç×èRµÄµçºÉÁ¿£®

(2)Èô´Å³¡µÄ´Å¸ÐӦǿ¶È²»±ä£¬½ðÊô¸ËabÔÚºãÁ¦×÷ÓÃÏÂÓɾ²Ö¹¿ªÊ¼ÏòÓÒÔ˶¯3 LµÄ¾àÀ룬ÆäËÙ¶ÈvÓëÔ˶¯¾àÀëxµÄ¹ØÏµÍ¼ÏóÈçͼÒÒËùʾ£®Çó½ðÊô¸Ëab¸ÕÒªÀ뿪´Å³¡Ê±µÄ¼ÓËÙ¶È´óС£®

(3)Çó(2)ËùÊö¹ý³ÌÖеç×èRÉϲúÉúµÄ½¹¶úÈÈQR£®

´ð°¸£º
½âÎö£º

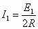
¡¡¡¡½â£º(1)´Å³¡µÄ´Å¸ÐӦǿ¶ÈÔÚʱ¼ätÄÚÓÉB¾ùÔȼõСµ½Á㣬´Ë¹ý³ÌÖеĸÐÓ¦µç¶¯ÊÆÎª(1·Ö)

¡¡¡¡Í¨¹ýRµÄµçÁ÷Ϊ(1·Ö)

¡¡¡¡Á÷¹ýµç×èRµÄµçÁ¿Îª(1·Ö)

¡¡¡¡ÁªÁ¢ÇóµÃ(1·Ö)

¡¡¡¡(2)ab¸ËÀëÆðʼλÖõÄÎ»ÒÆ´ÓLµ½3 LµÄ¹ý³ÌÖУ¬Óɶ¯Äܶ¨Àí¿ÉµÃ

¡¡¡¡(2·Ö)

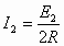
¡¡¡¡ab¸Ë¸ÕÒªÀ뿪´Å³¡Ê±£¬¸ÐÓ¦µç¶¯ÊÆ(1·Ö)

¡¡¡¡Í¨¹ýRµÄµçÁ÷Ϊ(1·Ö)

¡¡¡¡Ë®Æ½·½ÏòÉÏÊܰ²ÅàÁ¦F°²ºÍºãÁ¦F×÷Ó㬰²ÅàÁ¦Îª£º(1·Ö)

¡¡¡¡½âµÃ£º(1·Ö)

¡¡¡¡ÓÉÅ£¶ÙµÚ¶þ¶¨Âɿɵãº(1·Ö)

¡¡¡¡½âµÃ(1·Ö)

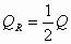
¡¡¡¡(3)ab¸ËÔڴų¡ÖÐÓÉÆðʼλÖ÷¢ÉúÎ»ÒÆLµÄ¹ý³ÌÖУ¬¸ù¾Ý¹¦ÄܹØÏµ£¬ºãÁ¦F×öµÄ¹¦µÈÓÚab¸ËÔö¼ÓµÄ¶¯ÄÜÓë»ØÂ·²úÉúµÄ½¹¶úÈÈÖ®ºÍ£®

¡¡¡¡Ôò(1·Ö)

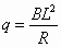
¡¡¡¡µç×èRÉϲúÉúµÄµçÈÈΪ(1·Ö)

¡¡¡¡½âµÃ(1·Ö)


Á·Ï°²áϵÁдð°¸
Ïà¹ØÌâÄ¿

Î¥·¨ºÍ²»Á¼ÐÅÏ¢¾Ù±¨µç»°£º027-86699610 ¾Ù±¨ÓÊÏ䣺58377363@163.com

¾«Ó¢¼Ò½ÌÍø