ÌâÄ¿ÄÚÈÝ

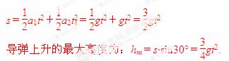
£¨2013ºÓÄÏÃûУÖʼ죩´ÓµØÃæ·¢ÉäÖÊÁ¿ÎªmµÄµ¼µ¯£¬µ¼µ¯ÉϵÄÅçÆø·¢¶¯»ú¿É²úÉúºã¶¨µÄÍÆÁ¦£¬ÇÒ¿Éͨ¹ý¸Ä±äÅçÆø·¢¶¯»úβÅç¹ÜµÄÅçÆøÖÊÁ¿ºÍ·½Ïò¸Ä±ä·¢¶¯»úÍÆÁ¦µÄ´óСºÍ·½Ïò£¬µ¼µ¯Æð·Éʱ·¢¶¯»úÍÆÁ¦´óСΪF£½mg£¬µ¼µ¯ÑغÍˮƽ·½Ïò³É¦È£½30¡ã½ÇµÄÖ±ÏßбÏòÓÒÉÏ·½ÔȼÓËÙ·ÉÐУ®¾­¹ýʱ¼ätºó£¬Ò£¿Øµ¼µ¯Éϵķ¢¶¯»ú£¬Ê¹ÍÆÁ¦µÄ·½ÏòÄæÊ±ÕëÐýת60¡ã£¬µ¼µ¯ÒÀÈ»¿ÉÒÔÑØÔ­·½ÏòÔȼõËÙÖ±Ïß·ÉÐУ®(²»¼Æ¿ÕÆø×èÁ¦ºÍÅçÆø¹ý³ÌÖе¼µ¯ÖÊÁ¿µÄ±ä»¯)£®Çó£º

(1)tʱ¿Ìµ¼µ¯µÄËÙÂʼ°Î»ÒÆÊǶàÉÙ£»

(2)Ðýת·½Ïòºóµ¼µ¯»¹Òª¾­¹ý¶à³¤Ê±¼äµ½´ï×î¸ßµã£»

(3)µ¼µ¯ÉÏÉýµÄ×î´ó¸ß¶ÈÊǶàÉÙ£¿

Á·Ï°²áϵÁдð°¸
Ïà¹ØÌâÄ¿

Î¥·¨ºÍ²»Á¼ÐÅÏ¢¾Ù±¨µç»°£º027-86699610 ¾Ù±¨ÓÊÏ䣺58377363@163.com

¾«Ó¢¼Ò½ÌÍø