题目内容
用电压表和电流表测定两节完全相同的电池的电动势和内电阻.先用如图所示的电路测量一节电池的电动势和内阻,理想电压表和理想电流表的读数分别为U1和I1.将两节相同电池串联后接入该电路,测得理想电压表和理想电流表的读数分别为U2和I2.串联电池组的总电动势E总= ,总内阻r总= .
【答案】分析:根据实验数据,由闭合电路欧姆定律列方程,可以求出电源电动势与内阻.
解答:解:由闭合电路欧姆定律可得:E=U1+I1r,2E=U2+I2?2r,
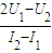
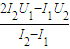
解得:E总=
,r总=
;
故答案为:
;
.
点评:熟练应用串联电路特点、闭合电路欧姆定律即可正确解题.
解答:解:由闭合电路欧姆定律可得:E=U1+I1r,2E=U2+I2?2r,
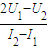
解得:E总=
故答案为:
点评:熟练应用串联电路特点、闭合电路欧姆定律即可正确解题.
练习册系列答案
相关题目