题目内容
如图所示,一物体自倾角为θ的固定斜面顶端沿水平方向抛出后落在斜面上。物体与斜面接触时速度与水平方向的夹角φ满足( )
![]()
A.tanφ=sinθ
B.tanφ=cosθ
C.tanφ=tanθ
D.tanφ=2tanθ
【答案】
D
【解析】
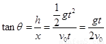
试题分析:设物体初速度为
,在空中运动的时间为t,则落到斜面时下落的高度
,
水平位移
,竖直分速度![]()
因此
,
而![]()
因此
,
D正确
考点:平抛运动
练习册系列答案
相关题目
| A、tanφ=sinθ | B、tanφ=cosθ | C、tanφ=tanθ | D、tanφ=2tanθ |
| A、tan φ=sin θ | B、tan φ=cos θ | C、tan φ=tanθ | D、tan φ=2tan θ |