题目内容
A.OB间的距离为r=
B.从A到B的过程中,电场力对点电荷乙做的功
C.从A到B的过程中,电场力对点电荷乙做的功为
D.在点电荷甲形成的电场中,AB间电势差
【答案】分析:本题首先要正确分析物体受力特点,明确力和运动的关系,在本题中注意滑动摩擦力的大小方向不变,两球靠近过程中库仑力逐渐增大,小球先减速后加速,根据牛顿第二定律和功能关系可正确解答.
解答:解:A、当速度最小时有:mgμ=F库=k
,解得:r=
,故A正确;
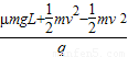
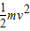
B、C从A到B的过程中,根据动能定理得:W-μmgL=
-
,得W=μmgL+
-
,故B错误,C正确.
D、由W=UABq得,UAB=
=
.故D正确.
故选ACD
点评:本题在借助库仑力的基础知识,考查了力与运动、牛顿第二定理、动能定理等基础知识的综合应用,是考查学生综合能力的好题.
解答:解:A、当速度最小时有:mgμ=F库=k
B、C从A到B的过程中,根据动能定理得:W-μmgL=
D、由W=UABq得,UAB=
故选ACD
点评:本题在借助库仑力的基础知识,考查了力与运动、牛顿第二定理、动能定理等基础知识的综合应用,是考查学生综合能力的好题.
练习册系列答案
相关题目
A、OB间的距离大于
| ||||||||
| B、点电荷乙能越过B点向左运动,其电势能仍增多 | ||||||||
C、在点电荷甲形成的电场中,AB间电势差UAB=
| ||||||||
D、从A到B的过程中,电场力对点电荷乙做的功为W=μmgL0+
|