ÌâÄ¿ÄÚÈÝ
£¨1£©ÇóÁ£×ÓµÚ2´ÎºÍµÚ1´Î¾¹ýÁ½DÐκмäÏÁ·ìºó¹ìµÀ°ë¾¶Ö®±È£»
£¨2£©ÇóÁ£×Ó´Ó¾²Ö¹¿ªÊ¼¼ÓËÙµ½³ö¿Ú´¦ËùÐèµÄʱ¼ät£»
£¨3£©Êµ¼ÊʹÓÃÖУ¬´Å¸ÐӦǿ¶ÈºÍ¼ÓËٵ糡ƵÂʶ¼ÓÐ×î´óÖµµÄÏÞÖÆ£®Èôijһ¼ÓËÙÆ÷´Å¸ÐӦǿ¶ÈºÍ¼ÓËٵ糡ƵÂʵÄ×î´óÖµ·Ö±ðΪBm¡¢fm£¬ÊÔÌÖÂÛÁ£×ÓÄÜ»ñµÃµÄ×î´ó¶¯ÄÜEkm£®
¡¾´ð°¸¡¿·ÖÎö£º£¨1£©ÏÁ·ìÖмÓËÙʱ¸ù¾Ý¶¯Äܶ¨Àí£¬¿ÉÇó³ö¼ÓËÙºóµÄËÙ¶È£¬È»ºó¸ù¾ÝÂåÂ××ÈÁ¦ÌṩÏòÐÄÁ¦£¬ÍƳö°ë¾¶±í´ïʽ£»
£¨2£©¼ÙÉèÁ£×ÓÔ˶¯nȦºóµ½´ï³ö¿Ú£¬Ôò¼ÓËÙÁË2n´Î£¬ÕûÌåÔËÓö¯Äܶ¨Àí£¬ÔÙÓëÂåÂ××ÈÁ¦ÌṩÏòÐÄÁ¦£¬Á£×ÓÔ˶¯µÄ¹ÌÓÐÖÜÆÚ¹«Ê½ÁªÁ¢Çó½â£»
£¨3£©Bm¶ÔÓ¦Á£×ÓÔڴų¡ÖÐÔ˶¯¿ÉÌṩµÄ×î´óƵÂÊ£¬fm¶ÔÓ¦¼ÓËٵ糡¿ÉÌṩµÄ×î´óƵÂÊ£¬Ñ¡Á½Õß½ÏСÕߣ¬×÷ΪÆä¹²Í¬ÆµÂÊ£¬È»ºóÇó´ËƵÂÊϵÄ×î´ó¶¯ÄÜ£®
½â´ð£º½â£º£¨1£©ÉèÁ£×ÓµÚ1´Î¾¹ýÏÁ·ìºóµÄ°ë¾¶Îªr1£¬ËÙ¶ÈΪv1
qU=
mv12
qv1B=m
½âµÃ
ͬÀí£¬Á£×ÓµÚ2´Î¾¹ýÏÁ·ìºóµÄ°ë¾¶
Ôò
£®
£¨2£©ÉèÁ£×Óµ½³ö¿Ú´¦±»¼ÓËÙÁËnȦ

½âµÃ
£®
£¨3£©¼ÓËٵ糡µÄƵÂÊÓ¦µÈÓÚÁ£×ÓÔڴų¡ÖÐ×öÔ²ÖÜÔ˶¯µÄƵÂÊ£¬¼´
µ±´Å³¡¸ÐӦǿ¶ÈΪBmʱ£¬¼ÓËٵ糡µÄƵÂÊӦΪ
Á£×ӵ͝ÄÜ
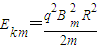
µ±fBm¡Üfmʱ£¬Á£×ÓµÄ×î´ó¶¯ÄÜÓÉBm¾ö¶¨
½âµÃ
µ±fBm¡Ýfmʱ£¬Á£×ÓµÄ×î´ó¶¯ÄÜÓÉfm¾ö¶¨vm=2¦ÐfmR½âµÃ
´ð£º£¨1£©r2£ºr1=
£º1 £¨2£©t=
£¨3£©µ±fBm¡Üfmʱ£¬EKm=
£»µ±fBm¡Ýfmʱ£¬EKm=
£®
µãÆÀ£º´ËÌâÊÇ´øµçÁ£×ÓÔÚ¸´ºÏ³¡ÖÐÔ˶¯Ó붯Äܶ¨ÀíµÄÁé»îÓ¦Ó㬱¾ÌâÿһÎʶ¼±È½ÏÐÂÓ±£¬ÐèҪѧÉú·´¸´×ÁÄ¥½â´ð¹ý³Ì£®
£¨2£©¼ÙÉèÁ£×ÓÔ˶¯nȦºóµ½´ï³ö¿Ú£¬Ôò¼ÓËÙÁË2n´Î£¬ÕûÌåÔËÓö¯Äܶ¨Àí£¬ÔÙÓëÂåÂ××ÈÁ¦ÌṩÏòÐÄÁ¦£¬Á£×ÓÔ˶¯µÄ¹ÌÓÐÖÜÆÚ¹«Ê½ÁªÁ¢Çó½â£»
£¨3£©Bm¶ÔÓ¦Á£×ÓÔڴų¡ÖÐÔ˶¯¿ÉÌṩµÄ×î´óƵÂÊ£¬fm¶ÔÓ¦¼ÓËٵ糡¿ÉÌṩµÄ×î´óƵÂÊ£¬Ñ¡Á½Õß½ÏСÕߣ¬×÷ΪÆä¹²Í¬ÆµÂÊ£¬È»ºóÇó´ËƵÂÊϵÄ×î´ó¶¯ÄÜ£®
½â´ð£º½â£º£¨1£©ÉèÁ£×ÓµÚ1´Î¾¹ýÏÁ·ìºóµÄ°ë¾¶Îªr1£¬ËÙ¶ÈΪv1
qU=
qv1B=m
½âµÃ
ͬÀí£¬Á£×ÓµÚ2´Î¾¹ýÏÁ·ìºóµÄ°ë¾¶
Ôò
£¨2£©ÉèÁ£×Óµ½³ö¿Ú´¦±»¼ÓËÙÁËnȦ
½âµÃ
£¨3£©¼ÓËٵ糡µÄƵÂÊÓ¦µÈÓÚÁ£×ÓÔڴų¡ÖÐ×öÔ²ÖÜÔ˶¯µÄƵÂÊ£¬¼´
µ±´Å³¡¸ÐӦǿ¶ÈΪBmʱ£¬¼ÓËٵ糡µÄƵÂÊӦΪ
Á£×ӵ͝ÄÜ
µ±fBm¡Üfmʱ£¬Á£×ÓµÄ×î´ó¶¯ÄÜÓÉBm¾ö¶¨
½âµÃ
µ±fBm¡Ýfmʱ£¬Á£×ÓµÄ×î´ó¶¯ÄÜÓÉfm¾ö¶¨vm=2¦ÐfmR½âµÃ
´ð£º£¨1£©r2£ºr1=
µãÆÀ£º´ËÌâÊÇ´øµçÁ£×ÓÔÚ¸´ºÏ³¡ÖÐÔ˶¯Ó붯Äܶ¨ÀíµÄÁé»îÓ¦Ó㬱¾ÌâÿһÎʶ¼±È½ÏÐÂÓ±£¬ÐèҪѧÉú·´¸´×ÁÄ¥½â´ð¹ý³Ì£®
Á·Ï°²áϵÁдð°¸
Ïà¹ØÌâÄ¿