ÌâÄ¿ÄÚÈÝ
ÔÚ¡°ÑéÖ¤»úеÄÜÊØºã¶¨ÂÉ¡±µÄʵÑéÖУ¬ËùÓÃÖØÎïµÄÖÊÁ¿Îªm£¬µ±µØµÄÖØÁ¦¼ÓËÙ¶ÈΪg£¬´òµã¼ÆÊ±Æ÷µÄ´òµãʱ¼ä¼ä¸ôΪT£®Ä³Í¬Ñ§Í¨¹ýʵÑéµÃµ½Ò»ÌõÈçͼËùʾµÄÖ½´ø£¬Ö½´øÉϵġ°0¡±µãÊÇÎïÌå¸ÕÒªÏÂÂäʱ´òϵĵ㣬µã¡°0¡±ºÍ¡°1¡±Ö®¼ä»¹ÓÐÈô¸Éµã£¬µã¡°1¡±ºÍµã¡°6¡±Ö®¼ä¸÷µãΪÁ¬Ðøµã£¬¸÷µãÖ®¼äµÄ¾àÀëÈçͼËùʾ£®´Ó¡°0¡±µ½¡°5¡±µÄ¹ý³ÌÖÐÎïÌå¼õСµÄÖØÁ¦ÊÆÄܵıí´ïʽΪ £¬µ±´òµã¡°5¡±Ê±ÎïÌåµÄËÙ¶ÈΪ £¬ÕâʱÎïÌ嶯Äܵıí´ïʽΪ £®
¡¾´ð°¸¡¿·ÖÎö£º½â¾öʵÑéÎÊÌâÊ×ÏÈÒªÕÆÎÕ¸ÃʵÑéÔÀí£¬Á˽âʵÑéµÄÒÇÆ÷¡¢²Ù×÷²½ÖèºÍÊý¾Ý´¦ÀíÒÔ¼°×¢ÒâÊÂÏ
Ö½´ø·¨ÊµÑéÖУ¬ÈôÖ½´øÔȱäËÙÖ±ÏßÔ˶¯£¬²âµÃÖ½´øÉϵĵã¼ä¾à£¬ÀûÓÃÔȱäËÙÖ±ÏßÔ˶¯µÄÍÆÂÛ£¬¿É¼ÆËã³ö´ò³öijµãʱֽ´øÔ˶¯µÄ˲ʱËÙ¶È£¬´Ó¶øÇó³ö¶¯ÄÜ£®¸ù¾Ý¹¦ÄܹØÏµµÃÖØÁ¦ÊÆÄܼõСÁ¿µÈÓÚÖØÁ¦×ö¹¦µÄÊýÖµ£®
ҪעÒâÌâÄ¿Çó½â¹ý³ÌÖеÄ×ÖĸÔËË㣮
½â´ð£º½â£º¸ù¾ÝÖØÁ¦ÊÆÄ͍ܵÒåʽµÃ£º
ÖØÁ¦ÊÆÄܼõСÁ¿¡÷Ep=mgh=mg£¨s1+s2+s3+s4+s5£©
ÀûÓÃÔȱäËÙÖ±ÏßÔ˶¯µÄÍÆÂÛ
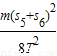
v5=
=
Ek5=
mv52=
¹Ê´ð°¸Îª£ºmg£¨s1+s2+s3+s4+s5£©£¬
£¬
µãÆÀ£ºÖ½´øÎÊÌâµÄ´¦ÀíʱÁ¦Ñ§ÊµÑéÖг£¼ûµÄÎÊÌ⣮ÎÒÃÇ¿ÉÒÔÖ½´ø·¨ÊµÑéÖУ¬ÈôÖ½´øÔȱäËÙÖ±ÏßÔ˶¯£¬²âµÃÖ½´øÉϵĵã¼ä¾à£¬ÀûÓÃÔȱäËÙÖ±ÏßÔ˶¯µÄÍÆÂÛ£¬¿É¼ÆËã³ö´ò³öijµãʱֽ´øÔ˶¯µÄ˲ʱËٶȺͼÓËÙ¶È£®
Ö½´ø·¨ÊµÑéÖУ¬ÈôÖ½´øÔȱäËÙÖ±ÏßÔ˶¯£¬²âµÃÖ½´øÉϵĵã¼ä¾à£¬ÀûÓÃÔȱäËÙÖ±ÏßÔ˶¯µÄÍÆÂÛ£¬¿É¼ÆËã³ö´ò³öijµãʱֽ´øÔ˶¯µÄ˲ʱËÙ¶È£¬´Ó¶øÇó³ö¶¯ÄÜ£®¸ù¾Ý¹¦ÄܹØÏµµÃÖØÁ¦ÊÆÄܼõСÁ¿µÈÓÚÖØÁ¦×ö¹¦µÄÊýÖµ£®
ҪעÒâÌâÄ¿Çó½â¹ý³ÌÖеÄ×ÖĸÔËË㣮
½â´ð£º½â£º¸ù¾ÝÖØÁ¦ÊÆÄ͍ܵÒåʽµÃ£º
ÖØÁ¦ÊÆÄܼõСÁ¿¡÷Ep=mgh=mg£¨s1+s2+s3+s4+s5£©
ÀûÓÃÔȱäËÙÖ±ÏßÔ˶¯µÄÍÆÂÛ
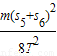
v5=
Ek5=
¹Ê´ð°¸Îª£ºmg£¨s1+s2+s3+s4+s5£©£¬
µãÆÀ£ºÖ½´øÎÊÌâµÄ´¦ÀíʱÁ¦Ñ§ÊµÑéÖг£¼ûµÄÎÊÌ⣮ÎÒÃÇ¿ÉÒÔÖ½´ø·¨ÊµÑéÖУ¬ÈôÖ½´øÔȱäËÙÖ±ÏßÔ˶¯£¬²âµÃÖ½´øÉϵĵã¼ä¾à£¬ÀûÓÃÔȱäËÙÖ±ÏßÔ˶¯µÄÍÆÂÛ£¬¿É¼ÆËã³ö´ò³öijµãʱֽ´øÔ˶¯µÄ˲ʱËٶȺͼÓËÙ¶È£®
Á·Ï°²áϵÁдð°¸
Ïà¹ØÌâÄ¿