题目内容
(1)最后面一节车厢脱落后,机车头和剩下的车厢的加速度是多大?
(2)最后面一节车厢脱落后,当它停止运动时,机车头和剩下的车厢的速度是多大?
(3)全部车厢脱落并停止运动时,机车头的速度是多大?
【答案】分析:(1)最后面一节车厢脱落后,根据牛顿第二定律求解机车头和剩下的车厢的加速度.
(2)根据速度公式求出最后面一节车厢从脱落到停止运动的时间,再求解机车头和剩下的车厢的速度.
(3)采用同样的方法求出第二节车厢脱离、第三节车厢脱离…等等停止运动时,机车头和剩下的车厢的速度,总结规律,得出全部车厢脱落并停止运动时,机车头的速度.
解答:解:(1)最后面一节车厢脱落后,根据牛顿第二定律得
机车头和剩下的车厢的加速度a1=
又由匀速运动时,F=(n+1)f,得
a1=
(2)最后面一节车厢脱落后,加速度大小为a′=
最后面一节车厢从脱落到停止运动的时间为t1=
=
,
则当它停止运动时,机车头和剩下的车厢的速度v1=v+a1t1=v+
=
(3)第二节车厢脱离:
v2=v1+a2t2=
=
=
第三节车厢脱离:
v3=v2+a3t3=
=
=
…
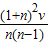
同理可得:vn=
=
答:
(1)最后面一节车厢脱落后,机车头和剩下的车厢的加速度是
.
(2)最后面一节车厢脱落后,当它停止运动时,机车头和剩下的车厢的速度是
.
(3)全部车厢脱落并停止运动时,机车头的速度是
.
点评:本题物理原理比较简单,关键在于运用数学归纳法寻找规律,考查运用数学知识处理物理问题的能力.
(2)根据速度公式求出最后面一节车厢从脱落到停止运动的时间,再求解机车头和剩下的车厢的速度.
(3)采用同样的方法求出第二节车厢脱离、第三节车厢脱离…等等停止运动时,机车头和剩下的车厢的速度,总结规律,得出全部车厢脱落并停止运动时,机车头的速度.
解答:解:(1)最后面一节车厢脱落后,根据牛顿第二定律得
机车头和剩下的车厢的加速度a1=
又由匀速运动时,F=(n+1)f,得
a1=
(2)最后面一节车厢脱落后,加速度大小为a′=
最后面一节车厢从脱落到停止运动的时间为t1=
则当它停止运动时,机车头和剩下的车厢的速度v1=v+a1t1=v+
(3)第二节车厢脱离:
v2=v1+a2t2=
第三节车厢脱离:
v3=v2+a3t3=
…
同理可得:vn=
答:
(1)最后面一节车厢脱落后,机车头和剩下的车厢的加速度是
(2)最后面一节车厢脱落后,当它停止运动时,机车头和剩下的车厢的速度是
(3)全部车厢脱落并停止运动时,机车头的速度是
点评:本题物理原理比较简单,关键在于运用数学归纳法寻找规律,考查运用数学知识处理物理问题的能力.
练习册系列答案
相关题目