题目内容

电动机通过一绳吊起一质量为8kg的物体,绳的拉力不能超过120N,电动机的功率不能超过1200W,要将此物体由静止起用最快的方式将物体吊高90m(已知此物体在被吊高接近90m时已开始以最大速度匀速上升)所需时间为多少?

答案:7.75s
解析:

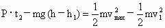
  因为牵引力F最大值,所以上升过程要以额定功率上升,最小速度,故不可能从静止开始以额定功率上升.要使重物上升90m时间最短,则必须开始以最大拉力匀加速上升,加速度.设匀加速上升时间,时达到额定功率,则据得:,所以;而,所以.匀加速上升的高度.设最后以额定功率上升秒.由动能定理得

①,而最终速度②,将各数据代①得,所以共需时间

  机车的两种特殊运动,在运用其规律的同时,还要根据题目的实际要求具体问题具体分析,不能生搬硬套.这个题目可结合图像(如图)帮助求解.一目了然,更容易理解.


练习册系列答案
相关题目

违法和不良信息举报电话:027-86699610 举报邮箱:58377363@163.com

精英家教网