题目内容

天文学家将相距较近、仅在彼此的引力作用下运行的两颗恒星称为双星.双星系统在银河系中很普遍.利用双星系统中两颗恒星的运动特征可推算出它们的总质量.已知某双星系统中两颗恒星围绕它们连线上的某一固定点分别做匀速圆周运动,周期均为T,两颗恒星之间的距离为r,试推算这个双星系统的总质量.(引力常量为G)

答案:
解析:

  设两颗恒星的质量分别为m1m2,做圆周运动的半径分别为r1r2,角速度分别为w1w2.根据题意有 w1w2 r1r2=r

  根据万有引力定律和牛顿定律,有G ① G ②

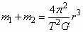
  联立以上各式解得 ③ 根据角速度与周期的关系知 ④

  联立①③④式解得


练习册系列答案
相关题目

违法和不良信息举报电话:027-86699610 举报邮箱:58377363@163.com

精英家教网