ÌâÄ¿ÄÚÈÝ

ͬѧÓôòµã¼ÆÊ±Æ÷²â¶¨µ±µØµÄÖØÁ¦¼ÓËÙ¶È£¬ÊµÑé×°ÖÃÈçͼ1Ëùʾ£¬ËùÓý»Á÷µçƵÂÊΪ50HZ£¬Ñ¡³öʵÑéÖдò³öµÄÒ»ÌõÖ½´ø£¬ÆäÖÐÒ»¶ÎÈçͼ2Ëùʾ£¬ÏàÁÚÁ½¼ÆÊýµã¼äµÄ¾àÀëΪx1=2.00cm£¬x2=2.38cm£¬x3=2.76cm£¬x4=3.14cm£¬x5=3.52cm£¬x6=3.90cm
£¨1£©Ö½´ø    ¶ËºÍÖØÎïÏàÁ¬£¨Ìî¡°×ó¡±»ò¡°ÓÒ¡±£©
£¨2£©¸ù¾ÝͼÖÐÊý¾Ý¼ÆËã³öµÄÖØÁ¦¼ÓËÙ¶ÈÖµg=    m/s2£®
£¨3£©¸ÃʵÑéËù²âµÃµÄÖØÁ¦¼ÓËٶȱÈÕæÊµÖµÆ«Ð¡£¬Ô­ÒòÊÇ    £¨Ð´³öÈÎÒâÒ»ÖÖ£©
¡¾´ð°¸¡¿·ÖÎö£º£¨1£©ÖØÎï×öÔȼÓËÙÖ±ÏßÔ˶¯£¬¸ù¾Ý´òµãµÄÊèÃÜ¿ÉÒÔÅжÏÖØÎïÓëÖ½´øµÄÄǶËÏàÁ¬£»
£¨2£©ÀûÓÃÖð²î·¨¿ÉÇó³ö¼ÓËٶȵĴóС£»
£¨3£©ÓÉÓÚÖØÎïÏÂÂäµÄ¹ý³ÌÖв»¿É±ÜÃâµÄÊܵ½×èÁ¦×÷Óã¬Òò´ËÇó³öµÄ¼ÓËÙ¶ÈСÓÚÕæÊµÖµ£®
½â´ð£º½â£º£¨1£©ÖØÎïÏÂÂäʱ×öÔȼÓËÙÔ˶¯£¬¹ÊÖ½´øÉϵĵãÓ¦Ô½À´Ô½Ô¶£¬¹ÊÖ½´øµÄ×ó¶ËÓëÖØÎïÏàÁ¬£®
¹Ê´ð°¸Îª£º×ó£®
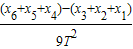
£¨2£©Á½¼ÆÊýµãÖ®¼äµÄʱ¼ä¼ä¸ôΪT=0.02s£¬¸ù¾Ý¼´¡÷x=aT2ÓУº
   ¢Ù
    ¢Ú
    ¢Û
==9.5m/s2
¹Ê´ð°¸Îª£º9.50£®
£¨3£©²â³öµÄ¼ÓËÙ¶ÈÒ»°ãҪСÓÚµ±µØµÄÖØÁ¦¼ÓËÙ¶È£¬Ô­ÒòÊÇÖØÎïÏÂÂäʱ×öµÄ²»ÊÇÕæÕýµÄ×ÔÓÉÂäÌåÔ˶¯£¬ÏÂÂä¹ý³ÌÖÐÒªÊܵ½¿ÕÆø×èÁ¦Ó°ÏìºÍÖ½´øÓëÏÞλ¿×µÄĦ²Á×èÁ¦µÄÓ°Ï죮
¹Ê´ð°¸Îª£ºÖØÎï´ø¶¯Ö½´øÏÂÂä¹ý³ÌÊܵ½×èÁ¦×÷Óã®
µãÆÀ£ºÕýÈ·½â´ðʵÑéÎÊÌâµÄǰÌáÊÇÃ÷ȷʵÑéÔ­Àí£¬´ÓʵÑéÔ­Àí³ö·¢½øÐÐËùÐèʵÑéÆ÷²Ä£¬·ÖÎöËù²âÊý¾Ý£¬ÈçºÎ²âÁ¿¼ÆË㣬»áÆðµ½Ê°빦±¶µÄЧ¹û£®
Á·Ï°²áϵÁдð°¸
Ïà¹ØÌâÄ¿
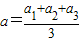
£¨2006?»´°²¶þÄ££©£¨1£©ÓÐÒ»ÖÖÔÚ¹¤³§Êµ¼ÊʹÓõÄÓα꿨³ßÈçͼËùʾ£¬ËüÊÇÆÕͨÓα꿨³ßµÄ±äÐΣ®Ëü°ÑÆÕͨÓα꿨³ßÁ½¸ö¿¨½Å¸Ä³ÉÁËбµÄ£¬Á½¸öб¿¨½ÅÓëÖ÷³ß¶¼³É126¡ã52¡ä12¡å£¨Í¼ÖеġÏDAC=¡ÏEBC=126¡ã52¡ä12¡å£¬ÒÑÖªtan63¡ã26¡ä06¡å=2.000£©£¬ÆäËû²¿·Öδ×÷¸Ä¶¯£¬ÕâÖÖ¿¨³ßרÃÅÓÃÀ´²âÁ¿Ô²ÖùÐλòÇòÐι¤¼þµÄÍâ¾¶£®Á½¸öб½ÅÖ®¼ä²»·Å±»²â¹¤¼þʱ£¬Óαê³ßµÄ¡°0¡±¿ÌÏßÇ¡ÓëÖ÷³ßµÄ¡°0¡±¿ÌÏß¶ÔÆë£¬Á½¸öб½ÅÖ®¼ä·ÅÉϱ»²âÔ²ÖùÐλòÇòÐι¤¼þ£¬Ê¹¹¤¼þÓëÖ÷³ß¡¢Á½Ð±½Å¶¼ÏàÇУ¬¼´¹²ÓÐÈý¸öÇе㣬Èçͼ£¨1£©ÖеÄD¡¢C¡¢E£®Èçͼ£¨1£©ËùʾµÄ±»²âÔ²Ðι¤¼þµÄÖ±¾¶Îª
24.60
24.60
mm




£¨2£©Èç¹ûÓÃÂÝÐý²â΢Æ÷²âÒ»Ô²Ðι¤¼þµÄ¶ÁÊýÈçͼ£¨2£©Ëùʾ£¬¶ÁÊýΪ
4.600
4.600
mm£®
£¨3£©Ä³Í¬Ñ§Óôòµã¼ÆÊ±Æ÷²â¶¨¼ÓËÙ¶È£¬Ôڵõ½µÄÖ½´øÉÏѡȡÆß¸ö¼ÆÊýµã£¨ÏàÁÚÁ½¸ö¼ÆÊýµãÖ®¼ä»¹ÓÐËĸöµãδ»­³ö£©£¬Èçͼ£¨3£©Ëùʾ£¬Í¼ÖÐs1=4.81cm£¬s2=5.29cm£¬s3=5.76cm£¬s4=6.25cm£¬s5=6.71cm£¬s6=7.21cm£®ÒÑÖª´òµã¼ÆÊ±Æ÷ËùÓý»Á÷µçƵÂÊΪ50Hz£¬Ôò¼ÓËٶȵĴóСΪ
0.48
0.48
m/s2£¨½á¹û±£ÁôÁ½Î»ÓÐЧÊý×Ö£©£®

£¨1£©ÓÐÒ»ÖÖÔÚ¹¤³§Êµ¼ÊʹÓõÄÓα꿨³ßÈçͼËùʾ£¬ËüÊÇÆÕͨÓα꿨³ßµÄ±äÐΣ®Ëü°ÑÆÕͨÓα꿨³ßÁ½¸ö¿¨½Å¸Ä³ÉÁËбµÄ£¬Á½¸öб¿¨½ÅÓëÖ÷³ß¶¼³É126¡ã52¡ä12¡å£¨Í¼ÖеġÏDAC=¡ÏEBC=126¡ã52¡ä12¡å£¬ÒÑÖªtan63¡ã26¡ä06¡å=2.000£©£¬ÆäËû²¿·Öδ×÷¸Ä¶¯£¬ÕâÖÖ¿¨³ßרÃÅÓÃÀ´²âÁ¿Ô²ÖùÐλòÇòÐι¤¼þµÄÍâ¾¶£®Á½¸öб½ÅÖ®¼ä²»·Å±»²â¹¤¼þʱ£¬Óαê³ßµÄ¡°0¡±¿ÌÏßÇ¡ÓëÖ÷³ßµÄ¡°0¡±¿ÌÏß¶ÔÆë£¬Á½¸öб½ÅÖ®¼ä·ÅÉϱ»²âÔ²ÖùÐλòÇòÐι¤¼þ£¬Ê¹¹¤¼þÓëÖ÷³ß¡¢Á½Ð±½Å¶¼ÏàÇУ¬¼´¹²ÓÐÈý¸öÇе㣬Èçͼ£¨1£©ÖеÄD¡¢C¡¢E£®Èçͼ£¨1£©ËùʾµÄ±»²âÔ²Ðι¤¼þµÄÖ±¾¶Îª______mm




£¨2£©Èç¹ûÓÃÂÝÐý²â΢Æ÷²âÒ»Ô²Ðι¤¼þµÄ¶ÁÊýÈçͼ£¨2£©Ëùʾ£¬¶ÁÊýΪ______mm£®
£¨3£©Ä³Í¬Ñ§Óôòµã¼ÆÊ±Æ÷²â¶¨¼ÓËÙ¶È£¬Ôڵõ½µÄÖ½´øÉÏѡȡÆß¸ö¼ÆÊýµã£¨ÏàÁÚÁ½¸ö¼ÆÊýµãÖ®¼ä»¹ÓÐËĸöµãδ»­³ö£©£¬Èçͼ£¨3£©Ëùʾ£¬Í¼ÖÐs1=4.81cm£¬s2=5.29cm£¬s3=5.76cm£¬s4=6.25cm£¬s5=6.71cm£¬s6=7.21cm£®ÒÑÖª´òµã¼ÆÊ±Æ÷ËùÓý»Á÷µçƵÂÊΪ50Hz£¬Ôò¼ÓËٶȵĴóСΪ______m/s2£¨½á¹û±£ÁôÁ½Î»ÓÐЧÊý×Ö£©£®

Î¥·¨ºÍ²»Á¼ÐÅÏ¢¾Ù±¨µç»°£º027-86699610 ¾Ù±¨ÓÊÏ䣺58377363@163.com

¾«Ó¢¼Ò½ÌÍø