题目内容
人造卫星在太空绕地球运行中,若天线偶然折断,天线将( )A.继续和卫星一起沿轨道运行
B.做平抛运动,落向地球
C.由于惯性,沿轨道切线方向做匀速直线运动
D.做自由落体运动,落向地球
【答案】分析:当地球对卫星的万有引力提供向心力时,人造卫星在地面附近绕地球做匀速圆周运动时,人造卫星的天线偶然折断了,天线的线速度不变,其受到得万有引力恰好为天线提供绕地球做圆周运动的向心力.
解答:解:当地球对卫星的万有引力提供向心力时,质量为m人造卫星在地面附近绕地球做匀速圆周运动时,
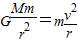
由:
得,v=
.
卫星的天线偶然折断了,质量为m天线的线速度不变,其受到得万有引力恰好为天线提供绕地球做圆周运动的向心力,
,解得v=
.
所以天线继续和卫星一起沿轨道做匀速圆周运动.故A正确,B、C、D错误.
故选A.
点评:题要掌握万有引力提供向心力作用下的物体绕中心天体做匀速圆周运动的牛顿第二定律,学会比较同轨道和不同轨道上卫星的速度.
解答:解:当地球对卫星的万有引力提供向心力时,质量为m人造卫星在地面附近绕地球做匀速圆周运动时,
由:
卫星的天线偶然折断了,质量为m天线的线速度不变,其受到得万有引力恰好为天线提供绕地球做圆周运动的向心力,
所以天线继续和卫星一起沿轨道做匀速圆周运动.故A正确,B、C、D错误.
故选A.
点评:题要掌握万有引力提供向心力作用下的物体绕中心天体做匀速圆周运动的牛顿第二定律,学会比较同轨道和不同轨道上卫星的速度.
练习册系列答案
相关题目
人造卫星在太空绕地球运行中,若天线偶然折断,天线将( )
| A、继续和卫星一起沿轨道运行 | B、做平抛运动,落向地球 | C、由于惯性,沿轨道切线方向做匀速直线运动,远离地球 | D、做自由落体运动,落向地球 |