题目内容
如图所示,一个半径为r的均匀球体,靠在竖直墙边,球跟墙面和水平地面间的静摩擦系数为μ,现在球上加一竖直向下的力F,问力F离球心的水平距离S为多大时,才能使球作逆时针方向的转动?
答案:
解析:
解析:
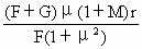
|
S= |
练习册系列答案
相关题目
题目内容
如图所示,一个半径为r的均匀球体,靠在竖直墙边,球跟墙面和水平地面间的静摩擦系数为μ,现在球上加一竖直向下的力F,问力F离球心的水平距离S为多大时,才能使球作逆时针方向的转动?
|
S= |