题目内容
【答案】分析:带负电的小球静止时,重力与电场力平衡.当电势差减小时,小球向下做匀加速直线运动,根据牛顿第二定律求加速度,由运动学位移公式求时间.
解答:解:若U=300V时,小球受力平衡,得

若为U′=60V时,小球做匀加速直线运动,
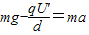
由牛顿第二定律,有
代入数据,得
,
即
由运动学公式,有
得,t=
s=0.1 (s)
答:带电小球运动到极板上需0.1s.
点评:本题是应用牛顿第二定律和运动学公式结合分析和处理带电粒子在电场中匀加速运动的问题,只要转变观念,把电场力当作一种力,方法与力学相同,一定会正确作答.
解答:解:若U=300V时,小球受力平衡,得
若为U′=60V时,小球做匀加速直线运动,
由牛顿第二定律,有
代入数据,得
即
由运动学公式,有
得,t=
答:带电小球运动到极板上需0.1s.
点评:本题是应用牛顿第二定律和运动学公式结合分析和处理带电粒子在电场中匀加速运动的问题,只要转变观念,把电场力当作一种力,方法与力学相同,一定会正确作答.
练习册系列答案
相关题目
如图所示,带负电的金属环绕其轴OO′匀速转动时,放在环顶部的小磁针最后将( )

| A、N极竖直向上 | B、N极竖直向下 | C、N极水平向左 | D、小磁针在水平面内转动 |
| A、N极沿轴线向右 | B、N极沿轴线向左 | C、N极竖直向下 | D、N极竖直向上 |