题目内容

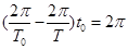
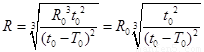
如图,A为太阳系中的天王星,它绕太阳O运行的轨道视为圆时,运动的轨道半径为R0,周期为To。长期观测发现,天主星实际运动的轨道与圆轨道总有一些偏离,且每隔to时间发生一次最大偏离,即轨道半径出现一次最大。根据万有引力定律,天文学家预言形成这种现象的原因可能是夭王星外侧还存在着一颗未知的行星(假设其运动轨道与A在同一平面内,且与A的绕行方向相同),它对天王星的万有引力引起天王星轨道的偏离,由此可推测未知行星的运动轨道半径是

A.   B.

C.  D.

 

【答案】

D

【解析】

试题分析:天王星每隔to时间发生一次最大偏离即天王星与外侧的未知行星每隔to时间相遇一次。根据万有引力提供向心力,即,可知天王星的角速度大即转的快,所以每隔to时间天王星比未知行星多转一圈,即,得,根据开普勒第三定律可得答案D对。

考点:万有引力与航天

 

练习册系列答案
相关题目

第Ⅰ卷(选择题 共31分)

一、单项选择题.本题共5小题,每小题3分,共计15分.每小题只有一个选项符合题意.

1. 关于科学家和他们的贡献,下列说法中正确的是[来源:Www..com]

A.安培首先发现了电流的磁效应

B.伽利略认为自由落体运动是速度随位移均匀变化的运动

C.牛顿发现了万有引力定律,并计算出太阳与地球间引力的大小

D.法拉第提出了电场的观点,说明处于电场中电荷所受到的力是电场给予的

2.如图为一种主动式光控报警器原理图,图中R1R2为光敏电阻,R3R4为定值电阻.当射向光敏电阻R1R2的任何一束光线被遮挡时,都会引起警铃发声,则图中虚线框内的电路是

A.与门                  B.或门               C.或非门                  D.与非门

 


3.如图所示的交流电路中,理想变压器原线圈输入电压为U1,输入功率为P1,输出功率为P2,各交流电表均为理想电表.当滑动变阻器R的滑动头向下移动时

A.灯L变亮                                    B.各个电表读数均变大

C.因为U1不变,所以P1不变                              D.P1变大,且始终有P1= P2

4.竖直平面内光滑圆轨道外侧,一小球以某一水平速度v0A点出发沿圆轨道运动,至B点时脱离轨道,最终落在水平面上的C点,不计空气阻力.下列说法中不正确的是

A.在B点时,小球对圆轨道的压力为零

B.BC过程,小球做匀变速运动

C.在A点时,小球对圆轨道压力大于其重力

D.AB过程,小球水平方向的加速度先增加后减小

5.如图所示,水平面上放置质量为M的三角形斜劈,斜劈顶端安装光滑的定滑轮,细绳跨过定滑轮分别连接质量为m1m2的物块.m1在斜面上运动,三角形斜劈保持静止状态.下列说法中正确的是

A.若m2向下运动,则斜劈受到水平面向左摩擦力

B.若m1沿斜面向下加速运动,则斜劈受到水平面向右的摩擦力

C.若m1沿斜面向下运动,则斜劈受到水平面的支持力大于(m1+ m2+Mg

D.若m2向上运动,则轻绳的拉力一定大于m2g

二、多项选择题.本题共4小题,每小题4分,共计16分.每小题有多个选项符合题意.全部选对的得4分,选对但不全的得2分,错选或不答的得0分.

6.木星是太阳系中最大的行星,它有众多卫星.观察测出:木星绕太阳作圆周运动的半径为r1 周期为T1;木星的某一卫星绕木星作圆周运动的半径为r2 周期为T2.已知万有引力常量为G,则根据题中给定条件

A.能求出木星的质量

B.能求出木星与卫星间的万有引力

C.能求出太阳与木星间的万有引力

D.可以断定

7.如图所示,xOy坐标平面在竖直面内,x轴沿水平方向,y轴正方向竖直向上,在图示空间内有垂直于xOy平面的水平匀强磁场.一带电小球从O点由静止释放,运动轨迹如图中曲线.关于带电小球的运动,下列说法中正确的是

A.OAB轨迹为半圆

B.小球运动至最低点A时速度最大,且沿水平方向

C.小球在整个运动过程中机械能守恒

D.小球在A点时受到的洛伦兹力与重力大小相等

8.如图所示,质量为M、长为L的木板置于光滑的水平面上,一质量为m的滑块放置在木板左端,滑块与木板间滑动摩擦力大小为f,用水平的恒定拉力F作用于滑块.当滑块运动到木板右端时,木板在地面上移动的距离为s,滑块速度为v1,木板速度为v2,下列结论中正确的是

A.上述过程中,F做功大小为            

B.其他条件不变的情况下,F越大,滑块到达右端所用时间越长

C.其他条件不变的情况下,M越大,s越小

D.其他条件不变的情况下,f越大,滑块与木板间产生的热量越多

9.如图所示,两个固定的相同细环相距一定的距离,同轴放置,O1O2分别为两环的圆心,两环分别带有均匀分布的等量异种电荷.一带正电的粒子从很远处沿轴线飞来并穿过两环.则在带电粒子运动过程中

A.在O1点粒子加速度方向向左

B.从O1O2过程粒子电势能一直增加

C.轴线上O1点右侧存在一点,粒子在该点动能最小

D.轴线上O1点右侧、O2点左侧都存在场强为零的点,它们关于O1O2连线中点对称

 


第Ⅱ卷(非选择题 共89分)

三、简答题:本题分必做题(第lO、11题)和选做题(第12题)两部分,共计42分.请将解答填写在答题卡相应的位置.

必做题

10.测定木块与长木板之间的动摩擦因数时,采用如图所示的装置,图中长木板水平固定.

(1)实验过程中,电火花计时器应接在  ▲  (选填“直流”或“交流”)电源上.调整定滑轮高度,使  ▲ 

(2)已知重力加速度为g,测得木块的质量为M,砝码盘和砝码的总质量为m,木块的加速度为a,则木块与长木板间动摩擦因数μ=  ▲ 

(3)如图为木块在水平木板上带动纸带运动打出的一条纸带的一部分,0、1、2、3、4、5、6为计数点,相邻两计数点间还有4个打点未画出.从纸带上测出x1=3.20cm,x2=4.52cm,x5=8.42cm,x6=9.70cm.则木块加速度大小a=  ▲  m/s2(保留两位有效数字).

 


11.为了测量某电池的电动势 E(约为3V)和内阻 r,可供选择的器材如下:

A.电流表G1(2mA  100Ω)             B.电流表G2(1mA  内阻未知)

C.电阻箱R1(0~999.9Ω)                      D.电阻箱R2(0~9999Ω)

E.滑动变阻器R3(0~10Ω  1A)         F.滑动变阻器R4(0~1000Ω  10mA)

G.定值电阻R0(800Ω  0.1A)               H.待测电池

I.导线、电键若干

(1)采用如图甲所示的电路,测定电流表G2的内阻,得到电流表G1的示数I1、电流表G2的示数I2如下表所示:

I1(mA)

0.40

0.81

1.20

1.59

2.00

I2(mA)

0.20

0.40

0.60

0.80

1.00

 


根据测量数据,请在图乙坐标中描点作出I1I2图线.由图得到电流表G2的内阻等于

  ▲  Ω.

(2)在现有器材的条件下,测量该电池电动势和内阻,采用如图丙所示的电路,图中滑动变阻器①应该选用给定的器材中  ▲  ,电阻箱②选  ▲  (均填写器材代号).

(3)根据图丙所示电路,请在丁图中用笔画线代替导线,完成实物电路的连接.

 


12.选做题(请从A、B和C三小题中选定两小题作答,并在答题卡上把所选题目对应字母后的方框涂满涂黑.如都作答,则按A、B两小题评分.)

A.(选修模块3-3)(12分)

(1)下列说法中正确的是  ▲ 

A.液体表面层分子间距离大于液体内部分子间距离,液体表面存在张力

B.扩散运动就是布朗运动

C.蔗糖受潮后会粘在一起,没有确定的几何形状,它是非晶体

D.对任何一类与热现象有关的宏观自然过程进行方向的说明,都可以作为热力学第二定律的表述

(2)将1ml的纯油酸加到500ml的酒精中,待均匀溶解后,用滴管取1ml油酸酒精溶液,让其自然滴出,共200滴.现在让其中一滴落到盛水的浅盘内,待油膜充分展开后,测得油膜的面积为200cm2,则估算油酸分子的大小是  ▲  m(保留一位有效数字).

(3)如图所示,一直立的汽缸用一质量为m的活塞封闭一定量的理想气体,活塞横截面积为S,汽缸内壁光滑且缸壁是导热的,开始活塞被固定,打开固定螺栓K,活塞下落,经过足够长时间后,活塞停在B点,已知AB=h,大气压强为p0,重力加速度为g

①求活塞停在B点时缸内封闭气体的压强;

②设周围环境温度保持不变,求整个过程中通过缸壁传递的热量Q(一定量理想气体的内能仅由温度决定).

B.(选修模块3-4)(12分)

(1)下列说法中正确的是  ▲ 

A.照相机、摄影机镜头表面涂有增透膜,利用了光的干涉原理

B.光照射遮挡物形成的影轮廓模糊,是光的衍射现象

C.太阳光是偏振光

D.为了有效地发射电磁波,应该采用长波发射

(2)甲、乙两人站在地面上时身高都是L0, 甲、乙分别乘坐速度为0.6c和0.8cc为光速)的飞船同向运动,如图所示.此时乙观察到甲的身高L  ▲  L0;若甲向乙挥手,动作时间为t0,乙观察到甲动作时间为t1,则t1  ▲  t0(均选填“>”、“ =” 或“<”).

(3)x=0的质点在t=0时刻开始振动,产生的波沿x轴正方向传播,t1=0.14s时刻波的图象如图所示,质点A刚好开始振动.

①求波在介质中的传播速度;

②求x=4m的质点在0.14s内运动的路程.

   C.(选修模块3-5)(12分)

(1)下列说法中正确的是  ▲ 

A.康普顿效应进一步证实了光的波动特性

B.为了解释黑体辐射规律,普朗克提出电磁辐射的能量是量子化的

C.经典物理学不能解释原子的稳定性和原子光谱的分立特征

D.天然放射性元素衰变的快慢与化学、物理状态有关

(2)是不稳定的,能自发的发生衰变.

①完成衰变反应方程    ▲ 

衰变为,经过  ▲  α衰变,  ▲  β衰变.

(3)1919年,卢瑟福用α粒子轰击氮核发现质子.科学研究表明其核反应过程是:α粒子轰击静止的氮核后形成了不稳定的复核,复核发生衰变放出质子,变成氧核.设α粒子质量为m1,初速度为v0,氮核质量为m2,质子质量为m0, 氧核的质量为m3,不考虑相对论效应.

α粒子轰击氮核形成不稳定复核的瞬间,复核的速度为多大?

②求此过程中释放的核能.

四、计算题:本题共3小题,共计47分.解答时请写出必要的文字说明、方程式和重要的演算步骤,只写出最后答案的不能得分,有数值计算的题,答案中必须明确写出数值和单位.

13.如图所示,一质量为m的氢气球用细绳拴在地面上,地面上空风速水平且恒为v0,球静止时绳与水平方向夹角为α.某时刻绳突然断裂,氢气球飞走.已知氢气球在空气中运动时所受到的阻力f正比于其相对空气的速度v,可以表示为f=kvk为已知的常数).则

(1)氢气球受到的浮力为多大?

(2)绳断裂瞬间,氢气球加速度为多大?

(3)一段时间后氢气球在空中做匀速直线运动,其水平方向上的速度与风速v0相等,求此时气球速度大小(设空气密度不发生变化,重力加速度为g).

 


14.如图所示,光滑绝缘水平面上放置一均匀导体制成的正方形线框abcd,线框质量为m,电阻为R,边长为L.有一方向竖直向下的有界磁场,磁场的磁感应强度为B,磁场区宽度大于L,左边界与ab边平行.线框在水平向右的拉力作用下垂直于边界线穿过磁场区.

(1)若线框以速度v匀速穿过磁场区,求线框在离开磁场时ab两点间的电势差;

(2)若线框从静止开始以恒定的加速度a运动,经过t1时间ab边开始进入磁场,求cd边将要进入磁场时刻回路的电功率;

(3)若线框以初速度v0进入磁场,且拉力的功率恒为P0.经过时间Tcd边进入磁场,此过程中回路产生的电热为Q.后来ab边刚穿出磁场时,线框速度也为v0,求线框穿过磁场所用的时间t

      

15.如图所示,有界匀强磁场的磁感应强度为B,方向垂直纸面向里,MN为其左边界,磁场中放置一半径为R的圆柱形金属圆筒,圆心OMN的距离OO1=2R,圆筒轴线与磁场平行.圆筒用导线通过一个电阻r0接地,最初金属圆筒不带电.现有范围足够大的平行电子束以速度v0从很远处沿垂直于左边界MN向右射入磁场区,已知电子质量为m,电量为e

(1)若电子初速度满足,则在最初圆筒上没有带电时,能够打到圆筒上的电子对应MN边界上O1两侧的范围是多大?

(2)当圆筒上电量达到相对稳定时,测量得到通过电阻r0的电流恒为I,忽略运动电子间的相互作用,求此时金属圆筒的电势φ和电子到达圆筒时速度v(取无穷远处或大地电势为零).

(3)在(2)的情况下,求金属圆筒的发热功率.

 


违法和不良信息举报电话:027-86699610 举报邮箱:58377363@163.com

精英家教网