ÌâÄ¿ÄÚÈÝ
ÈçͼËùʾ£¬Ò»¸öÖÊÁ¿Îªm¡¢´øµçÁ¿ÎªqµÄÁ£×Ó´ÓÁ½´øµçƽÐаåµÄÕýÖмäÑØÓëÔÈÇ¿µç³¡´¹Ö±µÄ·½ÏòÉäÈ룬²»¼ÆÁ£×ÓËùÊܵÄÖØÁ¦£®µ±Á£×ÓµÄÈëÉäËÙ¶ÈΪvʱ£¬ËüÇ¡ÄÜ´©¹ýÒ»µç³¡ÇøÓò¶ø²»Åöµ½½ðÊô°åÉÏ£®ÏÖÓûʹÖÊÁ¿Îªm¡¢ÈëÉäËÙ¶ÈΪA£®Ê¹Á£×ӵĴøµçÁ¿¼õÉÙΪÔÀ´µÄ
B£®Ê¹Á½°å¼äËù½ÓµçÔ´µÄµçѹ¼õСµ½ÔÀ´µÄÒ»°ë
C£®Ê¹Á½°å¼äµÄ¾àÀëÔö¼Óµ½ÔÀ´µÄ2±¶
D£®Ê¹Á½¼«°åµÄ³¤¶È¼õСΪÔÀ´µÄÒ»°ë
¡¾´ð°¸¡¿·ÖÎö£ºÒÔÒ»¶¨ËÙ¶È´¹Ö±½øÈëÆ«×ªµç³¡£¬ÓÉÓÚËÙ¶ÈÓëµç³¡Á¦´¹Ö±£¬ËùÒÔÁ£×Ó×öÀàÆ½Å×Ô˶¯£®ÕâÑùÀàÆ½Å×Ô˶¯¿É½«¿´³ÉÑØ³õËÙ¶È·½ÏòµÄÔÈËÙÖ±ÏßÓë´¹Ö±ÓÚ³õËÙ¶È·½ÏòÔȼÓËÙÖ±ÏßÔ˶¯£®¸ù¾ÝÔ˶¯Ñ§¹«Ê½½âÌ⣮
½â´ð£º½â£ºÉèÆ½Ðа峤¶ÈΪl£¬¿í¶ÈΪ2d£¬°å¼äµçѹΪU£¬
Ç¡ÄÜ´©¹ýÒ»µç³¡ÇøÓò¶ø²»Åöµ½½ðÊô°åÉÏ£¬Ôò
ÑØ³õËÙ¶È·½Ïò×öÔÈËÙÔ˶¯£ºt=
´¹Ö±³õËÙ¶È·½Ïò×öÔȼÓËÙÔ˶¯£ºa=
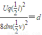
d=
=
ÓûʹÖÊÁ¿Îªm¡¢ÈëÉäËÙ¶ÈΪ
µÄÁ£×ÓÒ²ÄÜÇ¡ºÃ´©¹ýÕâÒ»µç³¡ÇøÓò¶ø²»Åöµ½½ðÊô°å£¬ÔòÑØ³õËÙ¶È·½Ïò¾àÀëÈÔÊÇl£¬´¹Ö±³õËÙ¶È·½Ïò¾àÀëÈÔΪd£¬
A¡¢Ê¹Á£×ӵĴøµçÁ¿¼õÉÙΪÔÀ´µÄ
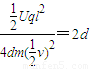
£¬Ôòy=
=d£¬¹ÊAÕýÈ·£»
B¡¢Ê¹Á½°å¼äËù½ÓµçÔ´µÄµçѹ¼õСµ½ÔÀ´µÄÒ»°ë£¬y=
£¬¹ÊB´íÎó£»
C¡¢Ê¹Á½°å¼äµÄ¾àÀëÔö¼Óµ½ÔÀ´µÄ2±¶£¬´Ëʱ´¹Ö±³õËÙ¶È·½Ïò¾àÀëӦΪ2d£¬y=
£¬¹ÊCÕýÈ·£»
D¡¢Ê¹Á½¼«°åµÄ³¤¶È¼õСΪÔÀ´µÄÒ»°ë£¬y=
£¬¹ÊDÕýÈ·£®
¹ÊÑ¡ACD£®
µãÆÀ£º´øµçÁ£×ÓÔڵ糡ÖÐÆ«×ªÊ±×öÔȼÓËÙÇúÏßÔ˶¯£®Ó¦Óô¦ÀíÀàÆ½Å×Ô˶¯µÄ·½·¨´¦ÀíÁ£×ÓÔ˶¯£®
½â´ð£º½â£ºÉèÆ½Ðа峤¶ÈΪl£¬¿í¶ÈΪ2d£¬°å¼äµçѹΪU£¬
Ç¡ÄÜ´©¹ýÒ»µç³¡ÇøÓò¶ø²»Åöµ½½ðÊô°åÉÏ£¬Ôò
ÑØ³õËÙ¶È·½Ïò×öÔÈËÙÔ˶¯£ºt=
´¹Ö±³õËÙ¶È·½Ïò×öÔȼÓËÙÔ˶¯£ºa=
d=
ÓûʹÖÊÁ¿Îªm¡¢ÈëÉäËÙ¶ÈΪ
A¡¢Ê¹Á£×ӵĴøµçÁ¿¼õÉÙΪÔÀ´µÄ
B¡¢Ê¹Á½°å¼äËù½ÓµçÔ´µÄµçѹ¼õСµ½ÔÀ´µÄÒ»°ë£¬y=
C¡¢Ê¹Á½°å¼äµÄ¾àÀëÔö¼Óµ½ÔÀ´µÄ2±¶£¬´Ëʱ´¹Ö±³õËÙ¶È·½Ïò¾àÀëӦΪ2d£¬y=
D¡¢Ê¹Á½¼«°åµÄ³¤¶È¼õСΪÔÀ´µÄÒ»°ë£¬y=
¹ÊÑ¡ACD£®
µãÆÀ£º´øµçÁ£×ÓÔڵ糡ÖÐÆ«×ªÊ±×öÔȼÓËÙÇúÏßÔ˶¯£®Ó¦Óô¦ÀíÀàÆ½Å×Ô˶¯µÄ·½·¨´¦ÀíÁ£×ÓÔ˶¯£®
Á·Ï°²áϵÁдð°¸
Ïà¹ØÌâÄ¿