题目内容
一飞船在某行星表面附近沿圆轨道绕该行星飞行,认为行星是密度均匀的球体,要确定该行星的密度,只需要测量( )A.飞船的轨道半径
B.飞船的运行速度
C.飞船的运行周期
D.行星的质量
【答案】分析:研究飞船在某行星表面附近沿圆轨道绕该行星飞行,根据根据万有引力提供向心力,列出等式.
根据密度公式表示出密度.
解答:解:根据密度公式得:
ρ=
=
A、已知飞船的轨道半径,无法求出行星的密度,故A错误.
B、已知飞船的运行速度,根据根据万有引力提供向心力,列出等式.
,得:M=
代入密度公式无法求出行星的密度,故B错误.
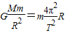
C、根据根据万有引力提供向心力,列出等式:
得:M=
代入密度公式得:ρ=
=
=
故C正确.
D、已知行星的质量无法求出行星的密度,故D错误.
故选C.
点评:运用物理规律表示出所要求解的物理量,再根据已知条件进行分析判断.
根据密度公式表示出密度.
解答:解:根据密度公式得:
ρ=
A、已知飞船的轨道半径,无法求出行星的密度,故A错误.
B、已知飞船的运行速度,根据根据万有引力提供向心力,列出等式.
C、根据根据万有引力提供向心力,列出等式:
代入密度公式得:ρ=
故C正确.
D、已知行星的质量无法求出行星的密度,故D错误.
故选C.
点评:运用物理规律表示出所要求解的物理量,再根据已知条件进行分析判断.
练习册系列答案
相关题目