ÌâÄ¿ÄÚÈÝ

ÓÐÒ»¸öСµÆÅÝÉϱêÓС°2 V¡¢3 W¡±µÄ×ÖÑù£¬ÏÖÔÚÒªÓ÷ü°²·¨Ãè»æÕâ¸öµÆÅݵÄI£­UͼÏߣ¬ÓÐÏÂÁÐÆ÷²Ä¹©Ñ¡Óãº

A£®µçѹ±í(0¡«5 VÄÚ×è10 k¦¸)

B£®µçѹ±í(0¡«10 VÄÚ×è20 k¦¸)

C£®µçÁ÷±í(0¡«0.3 A£¬ÄÚ×è1 ¦¸)

D£®µçÁ÷±í(0¡«0.6 A£¬ÄÚ×è0.4 ¦¸)

E£®»¬¶¯±ä×èÆ÷(5 ¦¸£¬1 A)

F£®»¬¶¯±ä×èÆ÷(500 ¦¸£¬0.2 A)

G£®µçÔ´(µç¶¯ÊÆ3 V£¬ÄÚ×è1 ¦¸)

(1)ʵÑéÖеçѹ±íӦѡÓÃ________£¬µçÁ÷±íӦѡÓÃ________£®ÎªÊ¹ÊµÑéÎó²î¾¡Á¿¼õС£¬ÒªÇóµçѹ±í´ÓÁ㿪ʼ±ä»¯ÇÒ¶àÈ¡¼¸×éÊý¾Ý£¬»¬¶¯±ä×èÆ÷ӦѡÓÃ________(ÓÃÐòºÅ×Öĸ±íʾ)£®

(2)ʵÑéÖÐÒÆ¶¯»¬¶¯±ä×èÆ÷»¬Æ¬£¬µÃµ½ÁËСµÆÅݵÄI£­UͼÏóÈçͼËùʾ£¬Ôò¿É֪СµÆÅݵĵç×èËæµçѹÔö´ó¶ø________(Ìî¡°Ôö´ó¡±¡¢¡°¼õС¡±»ò¡°²»±ä¡±)£®

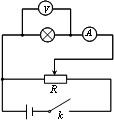
(3)Çë¸ù¾ÝʵÑéÒªÇ󣬻­³öµç·ͼ£®

µç·ͼ£º

´ð°¸£º
½âÎö£º

¡¡¡¡(1)A¡¢D¡¢E(ÿ¿Õ2·Ö)

¡¡¡¡(2)Ôö´ó(2·Ö)

¡¡¡¡(3)(4·Ö)


Á·Ï°²áϵÁдð°¸
Ïà¹ØÌâÄ¿

Î¥·¨ºÍ²»Á¼ÐÅÏ¢¾Ù±¨µç»°£º027-86699610 ¾Ù±¨ÓÊÏ䣺58377363@163.com

¾«Ó¢¼Ò½ÌÍø