题目内容
甲、乙两车沿平直公路通过同样的位移,甲车在前半段位移上以v1=40km/h的速度运动,后半段位移上以v2=60km/h的速度运动;乙车在前半段时间内以v1=40km/h的速度运动,后半段时间以v2=60km/h的速度运动,则甲、乙两车在整个位移中的平均速度大小的关系是( )A.v甲=v乙
B.v甲>v乙
C.v甲<v乙
D.因不知为是和时间无法确定
【答案】分析:根据平均速度的公式分别求出甲乙两车在整个位移中的平均速度,再比较.
解答:解:甲的平均速度
=48km/h.
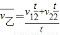
乙的平均速度
=50km/h.
所以v甲<v乙.故A、B、D错误,C正确.
故选C.
点评:解决本题的关键理解平均速度的定义,平均速度等于总位移除以总时间.
解答:解:甲的平均速度
乙的平均速度
所以v甲<v乙.故A、B、D错误,C正确.
故选C.
点评:解决本题的关键理解平均速度的定义,平均速度等于总位移除以总时间.
练习册系列答案
相关题目