题目内容
已知直线AC的中点为B点,物体沿AC做变速直线运动,在AB段的平均速度为6 m/s,在BC段的平均速度为4 m/s,则它在整个AC段的平均速度为
A.5.0 m/s
B.4.8 m/s
C.5.2 m/s
D.
m/s
答案:B
解析:
解析:
|
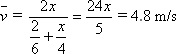
设AC间总的位移为2x,根据平均速度的定义 |
练习册系列答案
相关题目
已知直线AC的中点为B,物体沿AC做变速直线运动,在AB段的平均速度为6 m/s,在BC段的平均速度为4m/s,那么AC段的平均速度是( )
| A.4.8 m/s | B.5.0 m/s | C.5.2 m/s | D. |