题目内容

如图所示,是某同学打下的一条匀加速直线运动的纸带,相邻的两个计数点间还有4个点未画出,打点计时器使用的是50 Hz的交流电.计数点间的距离依次为S1=2.60cm、S2=4.10cm、S3=5.60cm、S4=7.10cm、S5=8.60cm、S6=10.0cm.

(1)计数点“1”处的速度为V1=___________m/s

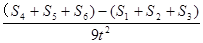
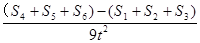
(2)若计数点间的距离依次用S1 ,S2 ,S3 ,S4 ,S5 ,S6 表示,相邻两个计数点间的时间间隔用t表示,用逐差法求加速度的表达式为:a=                                       ,代入数据后,加速度大小为_______m/s2

(3)计数点“0”处的速度为V0=___________m/s(保留三位有效数字)

 

【答案】

(1) 0.335    (2);1.49   (3)0.186

【解析】

试题分析:(1)根据匀变速直线运动的规律,计数点“1”的速度等于S1和S2两端位移过程中的平均速度,即:V1===0.335m/s

(2)根据逐差法,加速度为:a===1.49m/s2

(3)由v1=v0+at得v0=v1-at=0.335m/s-1.49m/s2×0.1s=0.186m/s

考点:本题考查了应用匀变速直线运动的规律处理纸带问题

 

练习册系列答案
相关题目

违法和不良信息举报电话:027-86699610 举报邮箱:58377363@163.com

精英家教网