题目内容
如图,在平面直角坐标系xOy内,第Ⅰ象限存在沿y轴负方向的匀强电场,第Ⅳ象限以ON为直径的半圆形区域内,存在垂直于坐标平面向外的匀强磁场,磁感应强度为B.一质量为m、电荷量为q的带正电的粒子,从y轴正半轴上y=h处的M点,以速度v垂直于y轴射入电场,经x轴上x=2h处的P点进入磁场,最后以垂直于y轴的方向射出磁场.不计粒子重力.求(1)电场强度大小E;
(2)粒子在磁场中运动的轨道半径r;
(3)粒子从进入电场到离开磁场经历的总时间t.
【答案】分析:(1)粒子垂直于电场进入第一象限,粒子做类平抛运动,由到达N的速度方向可利用速度的合成与分解得知此时的速度,根据牛顿第二定律可求出加速度与速度及位移关系,从而求出电场强度;
(2)应用动能定理即可求得电场中粒子的速度,粒子以此速度进入第四象限,在洛伦兹力的作用下做匀速圆周运动,先画出轨迹图,找出半径;利用洛伦兹力提供向心力的公式,可求出在磁场中运动的半径.
(3)粒子的运动分为两部分,一是在第一象限内做类平抛运动,二是在第四象限内做匀速圆周运动,分段求出时间,相加可得总时间.
解答:解:
粒子的运动轨迹如右图所示
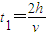
(1)设粒子在电场中运动的时间为t1
x方向匀速直线运动,则有:2h=vt1
y方向初速度为零的匀加速直线运动,则有:
根据牛顿第二定律:Eq=ma
求出匀强电场强度:
(2)粒子在电场中运动,根据动能定理:
设粒子进入磁场时速度为v,根据
求出运动轨道的半径:
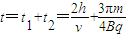
(3)粒子在电场中运动的时间:
粒子在磁场中运动的周期:
设粒子在磁场中运动的时间为t2,由几何关系可知粒子的偏转角为135°,所以有:

求出总时间:
答:(1)电场强度大小为
;
(2)粒子在磁场中运动的轨道半径为
;
(3)粒子从进入电场到离开磁场经历的总时间为
.
点评:该题考查了电场和磁场边界问题,不同场的分界面上,既是一种运动的结束,又是另一种运动的开始,寻找相关物理量尤其重要.
粒子在电场中运动偏转时,常用能量的观点来解决问题,有时也要运用运动的合成与分解.
点粒子做匀速圆周运动的圆心、半径及运动时间的确定也是本题的一个考查重点
圆心的确定:因洛伦兹力提供向心力,洛伦兹力总垂直于速度,画出带电粒子运动轨迹中任意两点(一般是射入磁场和射出磁场的两点)洛伦兹力的方向,其延长的交点即为圆心.或射入磁场和射出磁场的两点间弦的垂直平分线与一半径的交点即为圆心.
半径的确定:半径一般都在确定圆心的基础上用平面几何知识求解,常常是解直角三角形.
运动时间的确定:利用圆心与弦切角的关系计算出粒子所转过的圆心角θ的大小,用公式t=
T可求出运动时间.
再者就是要正确画出粒子运动的轨迹图,能熟练的运用几何知识解决物理问题.
(2)应用动能定理即可求得电场中粒子的速度,粒子以此速度进入第四象限,在洛伦兹力的作用下做匀速圆周运动,先画出轨迹图,找出半径;利用洛伦兹力提供向心力的公式,可求出在磁场中运动的半径.
(3)粒子的运动分为两部分,一是在第一象限内做类平抛运动,二是在第四象限内做匀速圆周运动,分段求出时间,相加可得总时间.
解答:解:
(1)设粒子在电场中运动的时间为t1
x方向匀速直线运动,则有:2h=vt1
y方向初速度为零的匀加速直线运动,则有:
根据牛顿第二定律:Eq=ma
求出匀强电场强度:
(2)粒子在电场中运动,根据动能定理:
设粒子进入磁场时速度为v,根据
求出运动轨道的半径:
(3)粒子在电场中运动的时间:
粒子在磁场中运动的周期:
设粒子在磁场中运动的时间为t2,由几何关系可知粒子的偏转角为135°,所以有:
求出总时间:
答:(1)电场强度大小为
(2)粒子在磁场中运动的轨道半径为
(3)粒子从进入电场到离开磁场经历的总时间为
点评:该题考查了电场和磁场边界问题,不同场的分界面上,既是一种运动的结束,又是另一种运动的开始,寻找相关物理量尤其重要.
粒子在电场中运动偏转时,常用能量的观点来解决问题,有时也要运用运动的合成与分解.
点粒子做匀速圆周运动的圆心、半径及运动时间的确定也是本题的一个考查重点
圆心的确定:因洛伦兹力提供向心力,洛伦兹力总垂直于速度,画出带电粒子运动轨迹中任意两点(一般是射入磁场和射出磁场的两点)洛伦兹力的方向,其延长的交点即为圆心.或射入磁场和射出磁场的两点间弦的垂直平分线与一半径的交点即为圆心.
半径的确定:半径一般都在确定圆心的基础上用平面几何知识求解,常常是解直角三角形.
运动时间的确定:利用圆心与弦切角的关系计算出粒子所转过的圆心角θ的大小,用公式t=
再者就是要正确画出粒子运动的轨迹图,能熟练的运用几何知识解决物理问题.
练习册系列答案
相关题目