题目内容

在折射率为n、厚度为d的玻璃平板上方的空气中有一点光源S,从S发出的光线SA以角度θ入射到玻璃板上表面,经过玻璃板后从下表面射出,如图所示.若沿此光线传播的光从光源到玻璃板上表面的传播时间与在玻璃板中的传播时间相等,则点光源到玻璃板上表面的垂直距离λ应是多少?

答案:
解析:

分析:由图可知在空气中的光线SA的距离为,光在空气中的传播速度为c,光从S到A的传播时间为

设光在介质中的折射角为r,则光在玻璃板中的传播距离为,光在介质中的传播速度为,则光在玻璃板中的传播时间为

按题意有

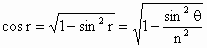
由折射定律有,而

代入上式可解得

说明:题目虽然不大,但涉及的知识点较多,如光的传播速度、折射定律及一些几何关系等,要理清这些知识间的关系.并能熟练的运用它们解决问题.


练习册系列答案
相关题目

违法和不良信息举报电话:027-86699610 举报邮箱:58377363@163.com

精英家教网