题目内容

观察到一对双星A、B绕它们连线上的一点做匀速圆周运动,其周期为了T,A、B之间的距离为L,它们的线速度之比,试求这两颗星的质量.

答案:略
解析:

AB两星的质量分别为,轨道半径分别为,由于它们之间的万有引力提供它们做匀速圆周运动的向心力,所以有

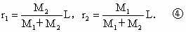
联立上述三式解得

根据题意又有

联立上述各式解得

  由于双星绕连线上的一点做匀速圆周运动,所以它们所需的向心力是它们之间的万有引力,且它们的角速度相等.

  所谓“双星”是两颗相距较近,彼此之间的万有引力对两者运动都有显著影响的特殊天体系统,它们之所以没有被强大的引力吸引到一起而保持距离L不变,是因为它们绕着共同“中心”做匀速圆周运动.它们之间的万有引力提供它们做圆周运动的向心力.

  根据上述讨论可知,双星到“中心”的距离比.对太阳和地球组成的双星系统,因为,所以,即这个“中心”到地球的距离约是到太阳距离的33万倍,这样“看起来”就是地球在绕太阳运转.

  对地球和月球组成的双星系统,因为,月球与地球相距,可以算出地球和月球的共同“中心”到地心的距离约为,小于地球半径(),可见它们的共同“中心”在地球的内部,因此“看上去”是月球绕地球运转.


练习册系列答案
相关题目

违法和不良信息举报电话:027-86699610 举报邮箱:58377363@163.com

精英家教网