题目内容

如图所示为研究电子枪中电子在电场中运动的简化模型示意图.在Oxy平面的第一象限,存在以x轴y轴及双曲线的一段(0≤x≤L,0≤y≤L)为边界的匀强电场I;在第二象限存在以x=-L; x=-2L;y=0;y=L的匀强电场II.两个电场大小均为E,不计电子所受重力.求

(1)从电场I的边界B点处由静止释放电子,电子离开MNPQ时的位置;

(2)由电场I的AB曲线边界处由静止释放电子离开MNPQ时的最小动能;

 

【答案】

(1)电子从P点射出   (2)

【解析】

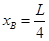
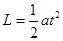
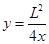
试题分析:(1)据题意,B点纵坐标,根据双曲线方程得到,横坐标

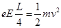
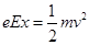
电子从B运动到C过程,根据动能定理得:

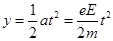
电子在MNPQ区域做类平抛运动,水平方向:,竖直方向:

解得:,即电子从P点射出。

(2)设释放位置坐标为,则有:,解得:

,得到:

根据数学知识得知,当时,动能有最小值

考点:本题考查了类平抛运动、动能定理。

 

练习册系列答案
相关题目

违法和不良信息举报电话:027-86699610 举报邮箱:58377363@163.com

精英家教网