ÌâÄ¿ÄÚÈÝ

ÈçͼËùʾ£¬µç×è²»¼ÆµÄƽÐй⻬½ðÊôµ¼¹ìÓëË®Æ½ÃæµÄ¼Ð½ÇΪ¦È£¬¿í¶ÈΪl£¬Ï¶ËÓë×èֵΪRµÄµç×èÏàÁ¬¡£´Å¸ÐӦǿ¶ÈΪBµÄÔÈÇ¿´Å³¡´¹Ö±´©¹ýµ¼¹ìÆ½Ãæ£¬ÏÖʹÖÊÁ¿ÎªmµÄµ¼Ìå°ôabλÖÃÒÔÆ½ÐÐÓÚÐ±ÃæµÄ³õËÙ¶ÈÑØµ¼¹ìÏòÉÏÔ˶¯£¬»¬Ðе½×îԶλÖÃa¡äb¡äºóÓÖÏ»¬¡£ÒÑÖªµ¼Ìå°ôÔ˶¯¹ý³ÌÖеÄ×î´ó¼ÓËÙ¶ÈΪ2gsin¦È£¬gÎªÖØÁ¦¼ÓËÙ¶È£¬¹ìµÀ×ã¹»³¤£¬Ôò

A£®µ¼Ìå°ôÔ˶¯¹ý³ÌÖеÄ×î´óËÙ¶È

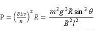
B£®RÉϵÄ×î´óÈȹ¦ÂÊΪ

C£®µ¼Ìå°ô·µ»Øµ½abλÖÃǰÒѾ­´ïµ½Ï»¬µÄ×î´óËÙ¶È

D£®µ¼Ìå°ô·µ»Øµ½abλÖÃʱ¸ÕºÃ´ïµ½Ï»¬µÄ×î´óËÙ¶È

 

¡¾´ð°¸¡¿

BD

¡¾½âÎö¡¿

ÊÔÌâ·ÖÎö£ºµ¼Ìå°ô¸Õ¿ªÊ¼ÏòÉÏÔ˶¯Ê±ËÙ¶È×î´ó£¬ÕâʱµÄ¼ÓËÙ¶ÈÒ²×î´óÊÇ2gsin¦È£¬ÑØÐ±Ãæ·½Ïòµ¼Ìå°ôµÄÊÜÁ¦Çé¿öÊÇ£º£¬ËùÒÔµ¼Ìå°ôµÄ×î´óËÙ¶ÈÊÇ£º £¬A´í£»µ¼Ìå°ôËÙ¶È×î´óʱ£¬RÉϵÄÈȹ¦ÂÊ×î´ó£¬£¬BÕýÈ·£»µ¼Ìå°ôÔ˶¯¹ý³ÌÖлúеÄܲ»¶Ïת»¯ÎªµçÄÜ£¬ËùÒÔÔÚͬһλÖã¬Ï»¬µÄËÙ¶ÈСÓÚÉÏ»¬µÄËÙ¶È£¬Ï»¬¹ý³ÌÒ»Ö±¼ÓËÙ£¬·µ»ØabλÖÃʱÏ»¬ËÙ¶È×î´ó£¬C´íD¶Ô¡£

¿¼µã£º°²ÅàÁ¦  ¸ÐÓ¦µç¶¯ÊÆ

 

Á·Ï°²áϵÁдð°¸
Ïà¹ØÌâÄ¿

Î¥·¨ºÍ²»Á¼ÐÅÏ¢¾Ù±¨µç»°£º027-86699610 ¾Ù±¨ÓÊÏ䣺58377363@163.com

¾«Ó¢¼Ò½ÌÍø