ÌâÄ¿ÄÚÈÝ

ÔÚ¡°²â¶¨ÔȱäËÙÖ±ÏßÔ˶¯¼ÓËÙ¶È¡±µÄʵÑéÖУº
£¨1£©³ý´òµã¼ÆÊ±Æ÷£¨º¬Ö½´ø¡¢¸´Ð´Ö½£©¡¢Ð¡³µ¡¢Ò»¶Ë¸½Óл¬Âֵij¤Ä¾°å¡¢Ï¸Éþ¡¢¹³Âë¡¢µ¼Ïß¼°¿ª¹ØÍ⣬ÔÚÏÂÃæµÄÒÇÆ÷ºÍÆ÷²ÄÖУ¬±ØÐëʹÓõÄÓÐ______£®£¨ÌîÑ¡Ïî´úºÅ£©
A£®µçѹºÏÊʵÄ50HZ½»Á÷µçÔ´
B£®µçѹ¿Éµ÷µÄÖ±Á÷µçÔ´
C£®¿Ì¶È³ß
D£®Ãë±í
E£®ÌìÆ½
£¨2£©ÊµÑé¹ý³ÌÖУ¬ÏÂÁÐ×ö·¨ÕýÈ·µÄÊÇ______£®
A£®ÏȽÓͨµçÔ´£¬ÔÙʹֽ´øÔ˶¯
B£®ÏÈʹֽ´øÔ˶¯£¬ÔÙ½ÓͨµçÔ´
C£®½«½ÓºÃÖ½´øµÄС³µÍ£ÔÚ¿¿½ü»¬ÂÖ´¦
D£®½«½ÓºÃÖ½´øµÄС³µÍ£ÔÚ¿¿½ü´òµã¼ÆÊ±Æ÷´¦
£¨3£©Í¼Ê¾ÎªÒ»´ÎʵÑéµÃµ½µÄÒ»ÌõÖ½´ø£¬Ö½´øÉÏÿÏàÁÚµÄÁ½¼ÆÊýµã¼ä¶¼ÓÐËĸöµãδ»­³ö£¬°´Ê±¼ä˳ÐòÈ¡0¡¢1¡¢2¡¢3¡¢4¡¢5¡¢6Æß¸ö¼ÆÊýµã£¬²â³ö1¡¢2¡¢3¡¢4¡¢5¡¢6µãµ½0µãµÄ¾àÀëÈçͼËùʾ£¨µ¥Î»£ºcm£©£®ÓÉÖ½´øÊý¾Ý¼ÆËã¿ÉµÃ¼ÆÊýµã4Ëù´ú±íʱ¿ÌµÄ¼´Ê±ËÙ¶È´óСv4=______m/s£¬Ð¡³µµÄ¼ÓËÙ¶È´óСa=______m/s2£®£¨±£ÁôÁ½Î»ÓÐЧÊý×Ö£©
¡¾´ð°¸¡¿·ÖÎö£ºÖ½´øÊµÑéÖУ¬ÈôÖ½´øÔȱäËÙÖ±ÏßÔ˶¯£¬²âµÃÖ½´øÉϵĵã¼ä¾à£¬ÀûÓÃÔȱäËÙÖ±ÏßÔ˶¯µÄÍÆÂÛ£¬¿É¼ÆËã³ö´ò³öijµãʱֽ´øÔ˶¯µÄ˲ʱËٶȺͼÓËÙ¶È£®
¸ù¾ÝÖ½´øÉÏÏàÁÚµãµÄ¾àÀë¼ä¸ôÅжÏС³µµÄÔ˶¯Çé¿ö£¬ÔÙ¸ù¾ÝС³µµÄÔ˶¯Çé¿öÅжÏС³µµÄ¼ÓËٶȺÍËÙ¶È·½Ïò¹ØÏµ£®
½â´ð£º½â£º£¨1£©ÊµÑéʹÓõĵçÔ´±ØÐëÊǽ»Á÷µçÔ´£¬ËùÒÔAÕýÈ·£¬B´íÎó£»
¿Ì¶È³ßÒªÓÃÀ´²âÁ¿Ö½´øµÄµãÖ®¼äµÄ¾àÀ룬ËùÒÔ±ØÐëÒªÓп̶ȳߣ¬ËùÒÔCÕýÈ·£»
´òµã¼ÆÊ±Æ÷±¾Éí¾ÍÊǼÆÊ±µÄÒÇÆ÷£¬ËùÒÔ²»ÐèÒªÃë±í£¬ËùÒÔD´íÎó£»
ÎïÌåµÄÖÊÁ¿²»ÐèÒªÖªµÀ£¬ËùÒÔ²»ÓÃÌìÆ½²âÎïÌåµÄÖÊÁ¿£¬ËùÒÔE´íÎó£®
¹ÊÑ¡AC£®
£¨2£©ÔÚʵÑéʱ£¬Ó¦¸ÃÏÈÏȽÓͨµçÔ´£¬ÔÙʹֽ´øÔ˶¯£¬²¢ÇÒÒª½«½ÓºÃÖ½´øµÄС³µÍ£ÔÚ¿¿½ü´òµã¼ÆÊ±Æ÷´¦£¬ËùÒÔADÕýÈ·£»
¹ÊÑ¡AD£®
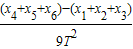
£¨3£©ÀûÓÃÔȱäËÙÖ±ÏßÔ˶¯µÄÍÆÂ۵ãº
v4===0.405m/s=0.41m/s£¬
ÓÉÓÚÏàÁÚµÄʱ¼ä¼ä¸ôÎ»ÒÆÖ®²î²»µÈ£¬¸ù¾ÝÔ˶¯Ñ§¹«Ê½¡÷x=at2µÃ£º
a===0.76m/s2£®
¹Ê´ð°¸Îª£º
£¨1£©AC  
£¨2£©AD
£¨3£©0.41£»0.76£®
µãÆÀ£º´ËÌâÖ÷Òª¿¼²éÖ½´øµÄ´¦ÀíÎÊÌ⣬
¶ÔÓÚÏàÁÚµÄʱ¼ä¼ä¸ôÎ»ÒÆÖ®²î²»µÈʱ£¬ÎÒÃÇ¿ÉÒÔ²ÉÓÃÖð²î·¨Çó½â¼ÓËÙ¶È£¬¿ÉÒÔ¼õСÎó²î£®
ҪעÒⵥλµÄ»»ËãºÍÓÐЧÊý×ֵı£Áô£®
Á·Ï°²áϵÁдð°¸
Ïà¹ØÌâÄ¿
£¨1£©ÔڲⶨÔȱäËÙÖ±ÏßÔ˶¯¼ÓËٶȵÄʵÑéÖУ¬Ñ¡¶¨Ò»ÌõÖ½´øÈçͼËùʾ£¬ÆäÖÐ0¡¢1¡¢2¡¢3¡¢4¡¢5¡¢6¶¼Îª¼ÇÊýµã£¬ÆäÖÐÁ½ÏàÁÚ¼ÆÊýµã¼äÓÐËĸöµãδ»­³ö£®²âµÃ£ºx1=1.40cm£¬x2=1.90cm£¬x3=2.38cm£¬x4=2.88cm£¬x5=3.39cm£¬x6=3.87cm£®

¢ÙÔÚ¼ÆÊ±Æ÷´ò³öµã4ʱ£¬Ð¡³µµÄËÙ¶Èv4=
31.35
31.35
cm/s£¬È«¹ý³Ì¼ÓËÙ¶Èa=
49.6
49.6
cm/s2£®
¢ÚÈç¹ûµ±Ê±µçÍøÖн»±äµçÁ÷µÄƵÂÊÊÇf=51Hz£¬¶ø×öʵÑéµÄͬѧ²¢²»ÖªµÀ£¬ÄÇô¼ÓËٶȵIJâÁ¿ÖµÓëʵ¼ÊÖµÏà±È
ƫС
ƫС
£¨Ñ¡Ìƫ´ó¡¢Æ«Ð¡»ò²»±ä£©£®
£¨2£©µÎË®·¨²âÖØÁ¦¼ÓËٶȵÄ×÷·¨ÈçÏ£º
¢ÙÈÃË®µÎÂäµ½µæÆðÀ´µÄÅÌ×ÓÉÏ£¬¿ÉÒÔÌýµ½Ë®µÎÿ´ÎÅöÅÌ×ÓµÄÉùÒô£¬×ÐϸµØµ÷ÕûË®ÁúÍ·µÄ·§ÃÅ£¬Ê¹µÚÒ»µÎË®Åöµ½Å̵Ä˲¼ä£¬Í¬Ê±µÚ¶þµÎË®ÕýºÃ´Ó·§ÃÅ´¦¿ªÊ¼ÏÂÂ䣮
¢Ú´ÓÌýµ½Ä³¸öË®µÎµÄÉùÒôʱ¿ªÊ¼¼ÆÊ±£¬²¢Êý¡°0¡±£¬ÒÔºóÿÌýµ½Ò»´ÎÏìÉù£¬Ë³´Î¼Ó1£¬Ö±µ½Êýµ½¡°100¡±£¬¼ÆÊ±Í£Ö¹£¬Ãë±íÉÏʱ¼äΪ40s£®
¢ÛÓÃÃ׳ßÁ¿³öË®ÁúÍ·µÎË®´¦µ½ÅÌ×ӵľàÀëΪ78.56cm£®
¸ù¾ÝÉÏÊöʵÑéËùµÃµÄÊý¾Ý£¬¼ÆËã³öÖØÁ¦¼ÓËٶȵÄֵΪ
9.82
9.82
 m/s2£®

Î¥·¨ºÍ²»Á¼ÐÅÏ¢¾Ù±¨µç»°£º027-86699610 ¾Ù±¨ÓÊÏ䣺58377363@163.com

¾«Ó¢¼Ò½ÌÍø