题目内容
如图为演示用的手摇发电机模型,匀强磁场磁感应强度B=0.5T,线圈匝数N=50匝,线圈面积为S=0.48m2,转动的角速度ω=2.5rad/s,线圈的总电阻r=1Ω,电阻R=2Ω.在匀速转动过程中,从中性面开始计时.(1)写出电动势瞬时值表达式.
(2)求电阻R的发热功率P.
【答案】分析:(1)从中性面开始转动,线圈转动过程中的感应电动势的瞬时表达式形式为e=Emsinωt;
(2)先算出电流的有效值,热功率根据P=I2R进行计算.
解答:解:(1)从中性面开始转动,线圈转动过程中的感应电动势的瞬时表达式形式为e=Emsinωt
Em=NBSω=30V
所以e=NBSωsinωt=30sin2.5t(V)
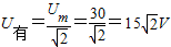
(2)电动势的有效值
电流的有效值I=
所以P=I2R=100W
答:(1)电动势瞬时值表达式为30sin2.5t(V).
(2)电阻R的发热功率P为100W.
点评:本题是简单的交流发电机的原理,考查综合应用法拉第定律、欧姆定律、楞次定律等电磁学规律分析实际问题的能力.
(2)先算出电流的有效值,热功率根据P=I2R进行计算.
解答:解:(1)从中性面开始转动,线圈转动过程中的感应电动势的瞬时表达式形式为e=Emsinωt
Em=NBSω=30V
所以e=NBSωsinωt=30sin2.5t(V)
(2)电动势的有效值
电流的有效值I=
所以P=I2R=100W
答:(1)电动势瞬时值表达式为30sin2.5t(V).
(2)电阻R的发热功率P为100W.
点评:本题是简单的交流发电机的原理,考查综合应用法拉第定律、欧姆定律、楞次定律等电磁学规律分析实际问题的能力.
练习册系列答案
相关题目