题目内容
做匀加速运动的列车出站时,车头经过站台某点O时速度是1m/s,车尾经过O点时的速度是7m/s,则这列列车的中点经过O点时的速度为 m/s.
【答案】分析:列车做匀加速运动,加速度保持不变,根据中点前后两段位移相等、加速度相等,由速度位移关系公式对前后两段分别列方程求解列车的中点经过O点时的速度.
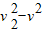
解答:解:设列车长2x,列车的中点经过O点时的速度为v,加速度为a.
根据
得

=2ax
联立得到,v=
=
故答案为:5
点评:本题关键要抓住前后两段过程之间的关系,这是研究多过程问题必须考虑的思路.
解答:解:设列车长2x,列车的中点经过O点时的速度为v,加速度为a.
根据
联立得到,v=
故答案为:5
点评:本题关键要抓住前后两段过程之间的关系,这是研究多过程问题必须考虑的思路.
练习册系列答案
相关题目
做匀加速运动的列车出站时,车头经过站台某点时速度是1 m/s,车尾经过该点时的速度是7 m/s,则这列列车的中点经过该点时的速度为 ( )
| A.5 m/s | B.5.5 m/s | C.4 m/s | D.3.5 m/s |