题目内容
如图所示,在长为2L、宽为L的区域内有正好一半空间有场强为E、方向平行于短边的匀强电场,有一个质量为m,电量为e的电子,以平行于长边的速度v从区域的左上角A点射入该区域,不计电子所受重力,要使这个电子能从区域的右下角的B点射出,求:(1)无电场区域位于区域左侧一半内时,如图甲所示,电子的初速应满足什么条件?
(2)无电场区域的左边界离区域左边的距离为x时,如图乙所示,电子的初速又应满足什么条件.
【答案】分析:(1)根据粒子做匀速直线运动与类平抛运动,由运动学公式与牛顿第二定律,即可求解;
(2)根据粒子做匀速直线运动,由运动学公式,并结合运动的合成与分解,即可求解.
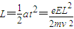
解答:解:(1)粒子做匀速直线运动,由运动学公式可知,
无电场中运动的时间,
在电场中做类平抛运动,由牛顿第二定律,则有
由上两式,综合解得:
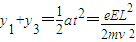
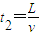
(2)粒子做匀速直线运动,则运动时间为
在两个电场中的偏距:
在无电场区域中的运动时间为t2,偏距y2,
运动的时间,
偏转位移,
则有
解得:
答:(1)无电场区域位于区域左侧一半内时,如图甲所示,电子的初速应满足
条件;
(2)无电场区域的左边界离区域左边的距离为x时,如图乙所示,电子的初速又应满足:
条件.
点评:考查粒子做匀速直线运动及类平抛运动,掌握运动的合成与分解的方法,理解运动学公式与牛顿第二定律的应用及几何关系的运用.
(2)根据粒子做匀速直线运动,由运动学公式,并结合运动的合成与分解,即可求解.
解答:解:(1)粒子做匀速直线运动,由运动学公式可知,
无电场中运动的时间,
在电场中做类平抛运动,由牛顿第二定律,则有
由上两式,综合解得:
(2)粒子做匀速直线运动,则运动时间为
在两个电场中的偏距:
在无电场区域中的运动时间为t2,偏距y2,
运动的时间,
偏转位移,
则有
解得:
答:(1)无电场区域位于区域左侧一半内时,如图甲所示,电子的初速应满足
(2)无电场区域的左边界离区域左边的距离为x时,如图乙所示,电子的初速又应满足:
点评:考查粒子做匀速直线运动及类平抛运动,掌握运动的合成与分解的方法,理解运动学公式与牛顿第二定律的应用及几何关系的运用.
练习册系列答案
相关题目