题目内容
如图所示,在倾角为30°的斜面OA的左侧有一竖直档板,其上有一小孔P,OP=0.5 m.现有一质量m=4×10-20 kg,带电量q=+2×10-14 C的粒子,从小孔以速度v0=3×104 m/s水平射向磁感应强度B=0.2 T、方向垂直纸面向外的一圆形磁场区域.且在飞出磁场区域后能垂直打在OA面上,粒子重力不计.求:
(1)粒子在磁场中做圆周运动的半径;
(2)粒子在磁场中运动的时间;
(3)圆形磁场区域的最小半径.
(4)若磁场区域为正三角形且磁场方向垂直向里,粒子运动过程中始终不碰到挡板,其他条件不变,求:此正三角形磁场区域的最小边长.
答案:
解析:
解析:
|
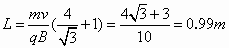
解:(1)由 (2)画出粒子的运动轨迹如图,可知 得:
(3)由数学知识可得: (4)略 |
练习册系列答案
相关题目
| A、v=v0 | ||
| B、线框离开MN的过程中电流方向为adcba | ||
| C、当ab边刚越过JP时,线框加速度的大小为3 gsinθ | ||
D、从ab边刚越过GH到ab边刚越过MN过程中,线框产生的热量为2mgLsinθ+
|