题目内容
登上月球的宇航员利用频闪仪(频率为每秒20次)给自由落体的小球所拍的闪光照片如图所示(图上所标数据为小球到达各位置时总的下落高度),则(1)月球表面重力加速度为:______m/s2(保留两位有效数字).
(2)月球表面没有空气,因此做能量守恒实验具有更好的条件.假设月球表面重力加速度为上述计算值.小球的质量为m,则小球从O点由静止开始下落到E处增加的动能的表达式为______(距离用OA、AB、BC…等字母表示,频闪时间间隔为T),从O点开始下落到E点的过程中减少的势能表达式为______(月球表面重力加速度用g月表示),由照片上的数据可以计算并判断出小球下落过程中机械能______(填“守恒”或“不守恒”).
【答案】分析:(1)利用逐差法可以求出物体下落的加速度,即月球表面的重力加速度.
(2)根据匀变速直线运动中中间时刻的瞬时速度等于该过程中的平均速度求出E点的瞬时速度,然后根据动能的表达式即可求出动能增量的表达式,根据重力做功和重力势能之间的关系可以求出势能的减小量,带入数据分别求出动能增量和势能的减小量可以判断机械能是否守恒.
解答:解:(1)根据逐差法有,物体的加速度为:

其中T=0.05s,(x6+x5+x4)=7.2-1.8=5.4cm,(x1+x2+x3)=1.8cm,代人数据解得a=1.6m/s2.
故答案为:1.6.
(2)根据匀变速直线运动规律,可知E点速度为:
.
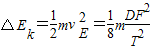
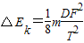
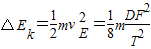
则小球从O点由静止开始下落到E处增加的动能的表达式为:
.
减小的势能等于重力所做功,因此有:△EP=mg月?OE
代人数据得:
=0.08mJ.
重力势能减小为:△EP=mg月?OE=0.08mJ.
由此可知动能增量和重力势能减小量相等,因此机械能守恒.
故答案为:
,△EP=mg月?OE;守恒.
点评:本题借助新的背景考查了机械能守恒定律,实质是考查了匀变速直线运动规律的理解应用情况.
(2)根据匀变速直线运动中中间时刻的瞬时速度等于该过程中的平均速度求出E点的瞬时速度,然后根据动能的表达式即可求出动能增量的表达式,根据重力做功和重力势能之间的关系可以求出势能的减小量,带入数据分别求出动能增量和势能的减小量可以判断机械能是否守恒.
解答:解:(1)根据逐差法有,物体的加速度为:
其中T=0.05s,(x6+x5+x4)=7.2-1.8=5.4cm,(x1+x2+x3)=1.8cm,代人数据解得a=1.6m/s2.
故答案为:1.6.
(2)根据匀变速直线运动规律,可知E点速度为:
则小球从O点由静止开始下落到E处增加的动能的表达式为:
减小的势能等于重力所做功,因此有:△EP=mg月?OE
代人数据得:
重力势能减小为:△EP=mg月?OE=0.08mJ.
由此可知动能增量和重力势能减小量相等,因此机械能守恒.
故答案为:
点评:本题借助新的背景考查了机械能守恒定律,实质是考查了匀变速直线运动规律的理解应用情况.
练习册系列答案
相关题目