ÌâÄ¿ÄÚÈÝ
£¨1£©ÔÚ¡°Ì½¾¿µ¥°ÚÖÜÆÚÓë°Ú³¤µÄ¹ØÏµ¡±µÄʵÑéÖУ¬Á½Î»Í¬Ñ§ÓÃÓα꿨³ß²âÁ¿Ð¡ÇòµÄÖ±¾¶Èçͼ¼×¡¢ÒÒËùʾ£®²âÁ¿·½·¨ÕýÈ·µÄÊÇ £¨Ñ¡Ìî¡°¼×¡±»ò¡°ÒÒ¡±£©£®£¨2£©ÔÚ̽¾¿Ó°Ïìµ¥°ÚÖÜÆÚµÄÒòËØÊ±ÓÐÈçϲÙ×÷£¬ÇëÅжÏÊÇ·ñÇ¡µ±£¨Ìî¡°ÊÇ¡±»ò¡°·ñ¡±£©£®
¢ÙÔÚ°ÚÇò¾¹ý×îµÍµãʱÆô¶¯Ãë±í¼ÆÊ±£º £»
¢ÚÓÃÃë±í¼Ç¼°ÚÇòÒ»´ÎÈ«Õñ¶¯µÄʱ¼ä×÷ΪÖÜÆÚ£º £®
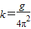
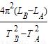
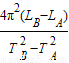
£¨3£©Ä³Í¬Ñ§ÀûÓõ¥°Ú²â¶¨µ±µØÖØÁ¦¼ÓËÙ¶È£¬·¢ÏÖµ¥°Ú¾²Ö¹Ê±°ÚÇòÖØÐÄÔÚÇòÐĵÄÕýÏ·½£¬ËûÈÔ½«´ÓÐüµãµ½ÇòÐĵľàÀëµ±×÷°Ú³¤L£¬Í¨¹ý¸Ä±ä°ÚÏߵij¤¶È£¬²âµÃ6×éLºÍ¶ÔÓ¦µÄÖÜÆÚT£¬»³öL-T2ͼÏߣ¬È»ºóÔÚͼÏßÉÏѡȡA¡¢BÁ½¸öµã£¬×ø±êÈçͼËùʾ£®Ëû²ÉÓÃÇ¡µ±µÄÊý¾Ý´¦Àí·½·¨£¬Ôò¼ÆËãÖØÁ¦¼ÓËٶȵıí´ïʽӦΪg= £®
¡¾´ð°¸¡¿·ÖÎö£º£¨1£©ÓÃÓα꿨³ß²âÁ¿Ð¡ÇòµÄÖ±¾¶£¬Ó¦½«Ð¡Çò¿¨ÔÚÍâצµÄµ¶¿ÚÉÏ£®
£¨2£©µ±°ÚÇò¾¹ý×îµÍµã£¨Æ½ºâλÖã©¿ªÊ¼¼ÆÊ±Îó²î½ÏС£¬ÒÔ¼°ÓÃÃë±í²âÁ¿´óÔ¼30´ÎÈ«Õñ¶¯ËùÐèµÄʱ¼ä£¬ÔÙÇó³öÖÜÆÚ£®
£¨3£©¸ù¾ÝT=
£¬Öª£¬L=
£®¸ù¾ÝͼÏßµÄбÂÊ
£¬Çó³öÖØÁ¦¼ÓËÙ¶Èg£®
½â´ð£º½â£º£¨1£©ÓÃÓα꿨³ß²âÁ¿Ð¡ÇòµÄÖ±¾¶£¬Ó¦½«Ð¡Çò¿¨ÔÚÍâצµÄµ¶¿ÚÉÏ£®¹ÊÒÒÕýÈ·£®
£¨2£©µ±°ÚÇò¾¹ý×îµÍµã£¨Æ½ºâλÖã©¿ªÊ¼¼ÆÊ±Îó²î½ÏС£¬ÒÔ¼°ÓÃÃë±í²âÁ¿´óÔ¼30´ÎÈ«Õñ¶¯ËùÐèµÄʱ¼ä£¬ÔÙÇó³öÖÜÆÚ£¬µ¥µ¥²âÒ»´ÎÈ«Õñ¶¯ËùÐèµÄʱ¼ä±íʾÖÜÆÚÎó²î½Ï´ó£®
£¨3£©¸ù¾ÝT=
£¬µÃ£¬L=
£®ÔòͼÏßµÄбÂÊ
£¬¸ù¾ÝͼÏßµÃ
£¬ËùÒÔg=
£®
¹Ê±¾Ìâ´ð°¸Îª£º£¨1£©ÒÒ£¨2£©¢ÙÊÇ£¬¢Ú·ñ £¨3£©
£®
µãÆÀ£º½â¾ö±¾ÌâµÄ¹Ø¼üÕÆÎÕÓα꿨³ßµÄ²Ù×÷·½·¨£¬ÖªµÀµ¥°ÚµÄÖÜÆÚ¹«Ê½T=
£¬ÒÔ¼°ÖªµÀÓ°Ïìµ¥°ÚÖÜÆÚµÄÒòËØ£®
£¨2£©µ±°ÚÇò¾¹ý×îµÍµã£¨Æ½ºâλÖã©¿ªÊ¼¼ÆÊ±Îó²î½ÏС£¬ÒÔ¼°ÓÃÃë±í²âÁ¿´óÔ¼30´ÎÈ«Õñ¶¯ËùÐèµÄʱ¼ä£¬ÔÙÇó³öÖÜÆÚ£®
£¨3£©¸ù¾ÝT=
½â´ð£º½â£º£¨1£©ÓÃÓα꿨³ß²âÁ¿Ð¡ÇòµÄÖ±¾¶£¬Ó¦½«Ð¡Çò¿¨ÔÚÍâצµÄµ¶¿ÚÉÏ£®¹ÊÒÒÕýÈ·£®
£¨2£©µ±°ÚÇò¾¹ý×îµÍµã£¨Æ½ºâλÖã©¿ªÊ¼¼ÆÊ±Îó²î½ÏС£¬ÒÔ¼°ÓÃÃë±í²âÁ¿´óÔ¼30´ÎÈ«Õñ¶¯ËùÐèµÄʱ¼ä£¬ÔÙÇó³öÖÜÆÚ£¬µ¥µ¥²âÒ»´ÎÈ«Õñ¶¯ËùÐèµÄʱ¼ä±íʾÖÜÆÚÎó²î½Ï´ó£®
£¨3£©¸ù¾ÝT=
¹Ê±¾Ìâ´ð°¸Îª£º£¨1£©ÒÒ£¨2£©¢ÙÊÇ£¬¢Ú·ñ £¨3£©
µãÆÀ£º½â¾ö±¾ÌâµÄ¹Ø¼üÕÆÎÕÓα꿨³ßµÄ²Ù×÷·½·¨£¬ÖªµÀµ¥°ÚµÄÖÜÆÚ¹«Ê½T=
Á·Ï°²áϵÁдð°¸
Ïà¹ØÌâÄ¿