题目内容
物体的初速度为v,以加速度a做匀加速直线运动,如果要它的速度增加到初速度的n倍,则物体的位移是( )A.
B.
C.
D.
【答案】分析:由于题目不涉及时间,我们可以根据位移-速度关系式整理出物体的位移.
解答:解:物体的初速度为v,加速度为a,末速度为v=nv倍,设物体的位移是x
由于题目不涉及时间,我们可以根据位移-速度关系式:v2-v2=2ax,
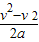
整理得:x=
=
故选:A
点评:本题是匀变速直线运动的基本公式的直接应用,属于比较简单的题目,解题时要大胆假设未知数合理选择公式,这样很多问题就容易解决.
解答:解:物体的初速度为v,加速度为a,末速度为v=nv倍,设物体的位移是x
由于题目不涉及时间,我们可以根据位移-速度关系式:v2-v2=2ax,
整理得:x=
故选:A
点评:本题是匀变速直线运动的基本公式的直接应用,属于比较简单的题目,解题时要大胆假设未知数合理选择公式,这样很多问题就容易解决.
练习册系列答案
相关题目