题目内容

(12分)如图,真空中有两个点电荷,分别固定在x=0和x=6 cm的位置上。静电力常量k=9.0×109N·m2/C2

(1)x坐标轴上电场强度为0的位置坐标是什么?

(2)坐标轴上x=3cm处场强的大小和方向?

 

【答案】

(1)(2),方向沿x轴正方向

【解析】

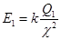
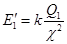
试题分析:(1)电场强度为0的位置只能在右侧,满足:          2分

其中           1分

            1分

代入数据,得坐标            2分

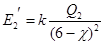
(2)由电场强度叠加,            2分

,          2分

代入数据,得,方向沿x轴正方向。       2分

考点:考查了点电荷电场强度的叠加,基础题

 

练习册系列答案
相关题目

违法和不良信息举报电话:027-86699610 举报邮箱:58377363@163.com

精英家教网