ÌâÄ¿ÄÚÈÝ

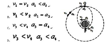
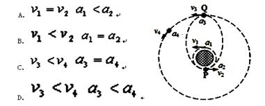
ÈçͼËùʾ£¬ÊÇij´Îͬ²½ÎÀÐÇ·¢Éä¹ý³ÌµÄʾÒâͼ£¬ÏȽ«ÎÀÐÇËÍÈëÒ»¸ö½üµØÔ²¹ìµÀ£¬È»ºóÔÚPµãµã»ð¼ÓËÙ£¬½øÈëÍÖÔ²×ªÒÆ¹ìµÀ£¬ÆäÖÐPÊǽüµØµã£¬QÊÇÔ¶µØµã£¬ÔÚQµãÔٴεã»ð¼ÓËÙ½øÈëͬ²½¹ìµÀ£®ÉèÎÀÐÇÔÚ½üµØÔ²¹ìµÀµÄÔËÐÐËÙÂÊΪv1£¬¼ÓËÙ¶È´óСΪa1£»ÔÚPµã¶Ìʱ¼äµã»ð¼ÓËÙÖ®ºó£¬ËÙÂÊΪv2£¬¼ÓËÙ¶È´óСΪa2£»ÑØ×ªÒƹìµÀ¸Õµ½´ïQµãËÙÂÊΪv3£¬¼ÓËÙ¶È´óСΪa3£»ÔÚQµãµã»ð¼ÓËÙÖ®ºó½øÈëÔ²¹ìµÀ£¬ËÙÂÊΪv4£¬¼ÓËÙ¶È´óСΪa4£¬Ôò£¨   £©

A£®

B£®

C£®

D£®

 

¡¾´ð°¸¡¿

BC

¡¾½âÎö¡¿

ÊÔÌâ·ÖÎö£ºÔÚ½üµØ¹ìµÀÐèÒª¼ÓËÙ²ÅÄÜÌÓÒÝ£¬×öÍÖÔ²¹ìµÀÔ˶¯£¬ËùÒÔ£¬ÔÚQµãÔٴμÓËÙ²ÅÄÜÈÆÔ²¹ìµÀÔ˶¯£¬ËùÒÔ£¬¸ù¾Ý¿ÉµÃ£¬Ö»Òª°ë¾¶Ïàͬ£¬¼ÓËٶȾÍÏàͬ£¬ËùÒԿɵ㬹ÊÑ¡BC

¿¼µã£º¿¼²éÁËÍòÓÐÒýÁ¦¶¨ÂɵÄÓ¦ÓÃ

µãÆÀ£º±¾ÌâÄѶȽÏС£¬×¢ÒâËÄÖÖÇé¿öÏÂÍòÓÐÒýÁ¦ÓëÏòÐÄÁ¦µÄ´óС¹ØÏµÊǹؼü£¬±ä¹ìÔ˶¯Ò²ÊDZ¾Ì⿼²éµÄÖØµã

 

Á·Ï°²áϵÁдð°¸
Ïà¹ØÌâÄ¿

Î¥·¨ºÍ²»Á¼ÐÅÏ¢¾Ù±¨µç»°£º027-86699610 ¾Ù±¨ÓÊÏ䣺58377363@163.com

¾«Ó¢¼Ò½ÌÍø