题目内容
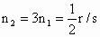
已知某人骑自行车1.0min蹬10圈,车轮与脚蹬轮盘转数之比为3∶1,车轮半径为1.0m,求车轮转动的线速度大小.
轮盘转速
已知某人骑自行车,l.0分钟蹬了10圈,车轮与脚蹬轮转数之比为3∶1,求车轮边缘一点转动的线速度大小(车轮半径为0.3米).