题目内容
如图所示,t=0时,一小物体从光滑斜面上的A点由静止开始下滑,经过B点后进入水平面(设经过B点前后速度大小不变),最后停在C点。每隔2s测得的三个时刻物体的瞬时速度,记录在下表中。重力加速度g取10m/s2,则物体到达B点的速度为 m/s;物体经过BC所用时间为 s。
![]()
![]()
【答案】
13.33 、6.67
【解析】
试题分析:根据表中可知,在斜面上下滑的加速度
,如果第4s还在斜面上的话,速度应为16m/s,从而判断出第4s已过B点.因此在水平面上的加速度![]()
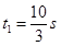
根据运动学公式:前4S内,
,
,解得
,因此运动到B点的速度
,经过BC所用时间![]()
考点:匀变速直线运动基本规律
练习册系列答案
相关题目
如图所示,t=0时,一小物体从光滑斜面上的A点由静止开始下滑,经过B点后进入水平面(设经过B点前后速度大小不变),最后停在C点。每隔2s测得的三个时刻物体的瞬时速度,记录在下表中。重力加速度g取10m/s2,则物体到达B点的速度为 m/s;物体经过BC所用时间为 s。![]()
| t/s | 0 | 2 | 4 | 6 |
| v/m·s-1 | 0 | 8 | 12 | 8 |