题目内容

某研究性学习小组用如图(a)所示装置验证机械能守恒定律。让一个摆球由静止开始从A位置摆到B位置,若不考虑空气阻力,小球的机械能应该守恒,即,但直接测量摆球到达B点的速度v比较困难,现利用平抛的特性来间接地测出v。

如图(a)中,悬点正下方一竖直立柱上 放置一个与摆球完全相同的小球(OB等于摆线长),当悬线摆至B处,摆球与小球发生完全弹性碰撞(速度互换),被碰小球由于惯性向前飞出作平抛运动。在地面上放上白纸,上面覆盖着复写纸,当小球落在复写纸上时,会在下面白纸上留下痕迹。用重锤线确定出A、B点的投影点N、M。重复实验10次(小球每一次都从同一点由静止释放),球的落点痕迹如图(b)所示,图中米尺水平放置,零刻度线与M点对齐。用米尺量出AN的高度h1、BM的高度h2,算出A、B两点的竖直距离,再量出M、C之间的距离x,即可验证机械能守恒定律。(已知重力加速度为g,两球的质量均为m。)
(1)根据图(b)可以确定小球平抛时的水平射程为          m。
(2)用题中所给字母表示出小球平抛时的初速度v0 =          
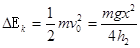
(3)此实验中,小球从A到B过程重力势能的减少量ΔEP =        ,动能的增加量EK=  
若要验证此过程中摆球的机械能守恒,实验数据应满足一个怎样的关系          。(用题中的符号表示)

(1) 0 .646~0.653 (2)  (3)mg(h1-h2)     mg(h1-h2)=x2

解析试题分析:(1)根据刻度尺的读数原则,可知其读数为:65.0cm.即0.650m
(2)物体从B点平抛,所以有:   ① ②联立①②解得:
(3)重力势能的减小量等于重力做功:
动能增量为:
实验中应满足减小的重力势能和动能增加是相同的,
考点:本题借助平抛运动来验证机械能守恒,
点评:(1)注意读数时要进行估读.(2)根据平抛运动规律可以求出初速度的大小.(3)根据重力做功和重力势能的关系可求出重力势能的减小量,根据水平速度的大小可以求出动能的增量.

练习册系列答案
相关题目
(1)某研究性学习小组用如图1所示装置验证机械能守恒定律.图中悬点O正下方P点处有水平放置的炽热电热丝,当悬线摆至电热丝处时能瞬间被烧断,小球由于惯性向前飞出做平抛运动.在水平地面上放上白纸,上面覆盖着复写纸,当小球落在复写纸上时,会在下面白纸上留下痕迹.用重垂线确定出A、B点在白纸上的投影点N、M.用米尺量出AN的高度H、BM的高度h,算出A、B两点的竖直距离,再量出M、C之间的距离x,即可验证机械能守恒定律.已知重力加速度为g,小球的质量为m.

①用题中所给的物理量表示出小球从A到B过程中,重力势能的减少量△EP=
mg(H-h)
mg(H-h)
,动能的增加量△Ek=
mgx2
4h
mgx2
4h

②要想验证小球从A到B的过程中机械能守恒,只需验证关系式
H-h=
x2
4h
H-h=
x2
4h
成立即可.
(2)①在“测金属电阻率”实验中,用螺旋测微器测得金属丝的直径的读数如图2所示,则直径d=
0.900
0.900
mm.
②测得接入电路的金属丝的长度为L,已知其电阻大约为25Ω.
在用伏安法测其电阻时,有下列器材供选择,除必选电源(电动势1.5V,内阻很小)、导线、开关外,电流表应选
Al
Al
,电压表应选
V2
V2
,滑动变阻器应选
R1
R1
.(填代号)并将设计好的测量电路原理图画在虚框内(图3).
电流表 A1(量程40mA,内阻约0.5Ω)
电流表A2(量程10mA,内阻约0.6Ω)
电压表V1 (量程6V,内阻约30kΩ)
电压表V2(量程1.2V,内阻约的20kΩ)
滑动变阻器R1(范围0-10Ω)
滑动变阻器R2(范围0-2kΩ)
某研究性学习小组用如图(a)所示装置验证机械能守恒定律.让一个摆球由静止开始从A位置摆到B位置,若不考虑空气阻力,小球的机械能应该守恒,即
1
2
mv2=mgh
.直接测量摆球到达B点的速度v比较困难.现让小球在B点处脱离悬线做平抛运动,利用平抛的特性来间接地测出v.如图(a)中,悬点正下方P点处放有水平放置炽热的电热丝,当悬线摆至电热丝处时能轻易被烧断,小球由于惯性向前飞出作平抛运动.实验步骤如下(将下列实验步骤补充完整,自己设定需用的字母):
(1)在地面上放上白纸,上面覆盖着复写纸,当小球落在复写纸上时,会在下面白纸上留下痕迹.
(2)用重锤线确定出A、B点的投影点N、M.
(3)让小球每一次都
同一点由静止
同一点由静止
释放,重复实验10次.球的落点痕迹如图(b)所示,图中米尺水平放置,零刻度线与M点对齐.
(4)用米尺量出
AN的高度h1、BM的高度h2
AN的高度h1、BM的高度h2
,算出A、B两点的竖直距离,再量出
M、C之间的距离x
M、C之间的距离x
,即可验证机械能守恒定律.已知重力加速度为g,小球的质量为m.
(5)数据处理
①根据图(b)可以确定小球平抛时的水平射程为
65.0
65.0
cm.
②表示出小球平抛时的初速度v0=
x.
g
2h2
x.
g
2h2
.(用题中所给字母和自己设定的字母表示)
③用测出的物理量表示出小球从A到B过程中,重力势能的减少量△EP=
mg(h1-h2
mg(h1-h2
,动能的增加量△EK=
mgx2
4h2
mgx2
4h2
.(用题中所给字母和自己设定的字母表示)
④本实验误差的主要来源有
小球在运动过程中受到阻力
小球在运动过程中受到阻力
(试举出一条).

违法和不良信息举报电话:027-86699610 举报邮箱:58377363@163.com

精英家教网