题目内容
如图所示,理想变压器原线圈a、b两端接入u=20
sin100
t
(V),原、副线圈匝数比为n1:n2=2:1,R1=2
,R2=3
,电压表、电流表均为理想电表,下列说法正确的是
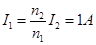
![]()
A.通过电阻R1的交流电频率为100Hz
B.电流表的示数为1A
C.电压表的示数为12V
D.交流电源的输出功率为20W
【答案】
BD
【解析】
试题分析:交流电的频率为
,所以通过电阻R1的交流电频率为50Hz;变压器初级电压有效值为
,次级电压有效值为
,次级电流为
,电压表的示数为
;变压器初级电流为
,即电流表示数为1A;交流电源的输出功率为P=U1I1=20W。选项BD正确。
考点:变压器的计算,交流电的有效值。
练习册系列答案
相关题目
| 2 |
| A、电流频率为50HZ |
| B、伏特表的读数为24V |
| C、安培表的读数为0.5A |
| D、变压器输入功率为6W |
| A、副线圈的两端M、N的输出电压不变 | B、副线圈输电线等效电阻R上的电压增大 | C、通过灯泡L1的电流增大 | D、原线圈中的电流增大 |
| A、3mA | B、48mA | C、与R的阻值有关 | D、0 |