题目内容
离地面某一高度h处的重力加速度是地球表面重力加速度的
,则高度h是地球半径的________倍.
答案:
解析:
解析:
|
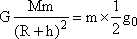
答案: 解析:在地球表面上有: 在离地面h处有: 解上两式得:h=( |
练习册系列答案
相关题目
题目内容
离地面某一高度h处的重力加速度是地球表面重力加速度的
,则高度h是地球半径的________倍.
|
答案: 解析:在地球表面上有: 在离地面h处有: 解上两式得:h=( |