题目内容

真空中存在空间范围足够大的、水平向右的匀强电场.在电场中,若将一个质量为m、带正电的小球由静止释放,运动中小球速度与竖直方向夹角为37°(取sin37°=0.6,cos37°=0.8).现将该小球从电场中某点以初速度竖直向上抛出.求运动过程中(1)小球受到的电场力的大小及方向;(2)小球从抛出点至最高点的电势能变化量;(3)小球的最小动量的大小及方向.

答案:略
解析:

思路点拨:根据题设条件,可求出电场的大小,后来小球在重力和电场力的作用下做抛体运动,我们可以运动分解的思想求出从抛出点至最高点的时间和水平方向上的距离,就可以求出电势能变化量,至于小球的最小动量的大小及方向,可通过两种方法求解,一种是列出速度表达式求速度极小值,另一种方法是巧妙建立坐标系,将初速度进行分解.

正确解答:(1)根据题设条件,电场力大小

电场力的方向水平向右.

(2)小球沿竖直方向做匀减速运动,速度为

沿水平方向做初速度为0的匀加速运动,加速度为

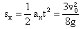
小球上升到最高点的时间,此过程小球沿电场方向位移

电场力做功

小球上升到最高点的过程中,电势能减少

(3)解法一:

水平速度,竖直速度

小球的速度

由以上各式得出

解得当时,v有最小值

此时,即与电场方向夹角为37°斜向上.

小球动量的最小值为

最小动量的方向与电场方向夹角为37°,斜向上.

解法二:将沿重力与电场力的合力方向和垂直合力的方向分解,求出在垂直合力的方向的分速度,也可得到同样的答案,此法比较简单.


练习册系列答案
相关题目

违法和不良信息举报电话:027-86699610 举报邮箱:58377363@163.com

精英家教网